
Whakaahua 1: Kaitatau Kaitatau
I nga waahanga hiko, Tacitars Mahi i tetahi kaupapa mo te penapena e rua me te tuku i te utu hiko.E rua nga papa whakahaere a raatau e wehea ana e te kaihoroi.Ko te kaha ki te pupuri i te utu ka whangahia ki nga papa.

Whakaahua 2: Kaitatau
Ka taea te hono atu ki te raupapa i roto i te raupapa, i te raanei ranei.I roto i te raupapa, ka iti ake nga kaitohu i te kaha o te kaha, whai hua ki te whakatutuki i te kaha o raro.I roto i te rite, ka nui ake te kaha o te kaha, te pai mo te kaha nui i roto i nga waahi iti, penei i nga whiriwhiringa tuku.Ko nga rauemi Dielectric e pa ana ki te mahi a Camacitor, te whakatau i te utu nui, te huringa pakaru, me te urupare urupare.Ka whakamahia e nga Kaihautū Adsce nga rauemi penei i te nutini, te tantalum, te hiko-iti ranei o te miihini mo te kaha teitei, te pumau o te pāmahana, me te riihi iti.

Whakaahua 3: Kaitatau
Anei tetahi whakamarama ngawari mo o raatau taonga me te pehea e taea ai te whakarite i enei hononga ki te tiki i te kaha e hiahiatia ana.

Whakaahua 4: raupapa kaha
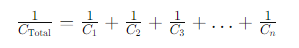
Ka hono ana koe ki nga Kaihautū i roto i te raupapa, ka iti ake te kaha o te kaha.Ka tupu tenei na te mea me haere te utu ma te nui ake o nga taonga, kia kaha ake ai te tiaki i te utu.Te katoa o te kaha (1 / cpupūtanga) Ko te moni o nga utu o ia kaiwhakatakoto takitahi (1 / c1 + 1 / c2 + ... + 1 / cn).Ko te kaha o te kaha te nuinga o te waarangi i te kaari iti rawa i roto i te raupapa.Ko te tātai mo te tātai i te katoa o te kaha o te kohinga i roto i te raupapa:

Me kawe e nga kaihoahoa a tawhio noa tenei waahanga ki te whiriwhiri i nga kaiwhakamahara ki te whakatutuki i nga whakaritenga kaha motuhake.Ko nga tikanga whaihua penei i te waahi me te tono ka taea te whakawhi i te maha o nga Kaitatohu i roto i te raupapa, a, ka taea e nga Kaihaututu Volution te whakauru i nga uaua.

Whakaahua 5: Ka taea te whakarite
I te hono atu o nga Kaitautoko i te rite, ka piki haere te katoa o te kaha.Na te mea tenei na te waahi o te paparanga o nga Kaipupuri katoa e taea ai te penapena kia rite ki te ngaohiko.Te katoa o te capacitance (cpupūtanga) ko te moni o nga kaiwawao o ia Kaiwhakamahi (c1 + C2 + ... + cn).Ko te kaha o te kaha ka nui ake i te kaitapu kotahi nui rawa atu.Ko te tauira mo te tātai i te katoa o te kaha ki te rite:

Ahakoa, ko te maha o nga kaiwawao e hono ana ki te waatea, penei i te waahi tinana, te kaupapa huri noa, me te aukati hoahoa i te tau.He pai te kaiwhakahaere o te kounga nui me nga tohu o te ngaohiko me te whakawhiwhinga ki nga mahi a te maamaa.Ma tenei tauira ka taea te whakahaere i nga uara kaha, ka taea nga kaihoahoa kia pai ake te whanonga, te kaha o te kaha, me te mahi, te ahuwhenua o te hikohiko me te miihini hiko.

Whakaahua 6: raupapa me te rite
He raupapatanga raupaparorohiko raupaparorohiko e hono ana i te huarahi kotahi, ko te whakarite kia rite ki nga utu taapiri ranei o nga waahanga o ia waahanga.Ka whakaatuhia e ia te rere o naianei puta noa i nga kaiwhakawa, he waahanga nui mo te maarama ki te whanonga o nga waahanga.

Whakaahua 7: raupapa raupaparorohiko raupaparorohiko
I roto i te huinga raupapa, me hapai tetahi kaitautoko i te taua utu.I te wa e whakamahia ana te puna pokaata DC, ko te hononga raupapa e kii ana ko te whakapae i te taha o nga kaihokohoko kia mau tonu ai tenei taurite.Hei tauira, mena he hono te puna puta noa i nga Kaitautoko C1, C2Tuhinga ka whai mai3 Ki nga uara 2f, 4f, me te 6f, e whai ake nei:
• te taha matau o c3 ka tino whakaekea na te kukume i nga hikohiko mo te tauranga pai o te pākahiko.
• Ko tenei ngoikoretanga o te hiko i runga c3Ko te pereti tika e whakaputa ana i te hapa i te c2Ko te pereti tika, a, ko te tikanga ano ka puta te kaupapa i runga i te C1.
• Ko tenei tauhohenga mekameka puta noa i nga Kaitautoko e whakarite kia tohatoha nga utu utu.
Tauira:
I hoatu nga capacitances c1= 2f, c2= 4f, c3= 6f me te huringa DC o te 10V, ka taea e taatau te whakatau i te utu me te tohatoha te huringa:


Whakaahua 8: Nga tauira tauira
Te tātai i nga hua CTOTATAL e tata ana ki te 0.92f.
Ma te whakamahi i te Q = C × V, kei hea te Q te utu me te V ko te V te huringa:

Ko te kupu, kei ia tatau te utu mo te 9.2c.
Ka kitea te ngaohiko a ia capicitor ma te whakamahi i te v = cq:

Ko te moni o nga puia takitahi, v1+ V2+ V3, kia rite ki te huringa puna (10v).I konei, kei te tata ki te 8.43V, e tohu ana i te huringa taapiri, te hapa tatauranga ranei i a maatau whakatau tuatahi.
Ko te papaa paparangapu he waahanga hiko te hono i te taha o te taha ki te taha noa, kia taea ai e ia te whakahaere takitahi i raro i te huringa kotahi.He rereke tenei mai i nga waahanga raupapa, kei reira nga kaiwhakawaa.

Whakaahua 9: Paewhiri Kaitatau
I roto i te whakariterite, ko te ngaohiko te puta noa i ia Kaihautū.Heoi, ko te utu mo ia toa toa ka rereke i runga i tona kaha.Ko te kaha ake ko te tikanga ko te kaihoahoa ka taea te penapena utu.Hei tauira, mena he tangata maatau e 8 nga reanga (F) me te 4F, ka toa te kaiwhakahaere 8F ki te utu nui atu i te kaari 4F i te waa e rua nga huringa.
Ko tetahi painga nui o te capacities rite ko te pikinga o te kaha o te kaha.Kaore e rite ana ki nga waahanga raupapa kaore i te rite, kei te iti ake te katoa o te Kaitautoko takitahi, i te rite, ko te katoa o te kaha o te katoa o nga pukenga takitahi.Ka tupu tenei na te mea ka piki haere te papa pereti me te kore e huri i te tawhiti i waenga i a raatau, te whakatairanga i te kaha o te huringa ki te penapena i te utu.
Tauira:

Whakaahua 10: Tauira riterite
Whakaarohia he waahi hikoi e toru nga kaiwhakahaere e hono ana ki te putake ki te puna kaha o te 10V DC.Ko nga Kaitautoko kei enei kaha: c1 = 8f, c2 = 4f, me c3 = 2f.Kei ia kaitautoko te taua 10V, engari ka penapena i nga utu rereke e pa ana ki o raatau kaha:
Paninga c1: Ki te 8F, ka penapena i te utu mo te 80 Coulombs (c), ka kiia ko te Q = C × V1 × 10v = 80c.
Paninga c2: Ki te 4F, ka penapena i te utu mo te 40c, ka kiia ko 4f × 10v = 40c.
Paninga c3: Ki te 2F, ka penapena i te utu mo te 20c, ka kiia ko te 2F × 10V = 20C.
Ko te moni katoa i roto i te huringa ko te moni o nga utu katoa: QT= Q1+ Q2+ Q3= 80c + 40c + 20c = 140c
Ko tenei taapiri e whakaatu ana he pehea te whakarei ake i te papatohu o te roopu ki te penapena i te rokiroki o ia tangata takitahi.Ko te paparanga tuuturu e piki ake ana ko te kaha o te penapena me te kaha o te penapena, me ia hoia e raru ana i te kotahi ngaohiko.
Ki te mohio he pehea te penapena o te kaha ki nga Kaitautoko i hangaia i roto i te raupapa, i te wa ano ranei, ka tiimata me te tauira taketake mo te kaha o te hiko:

I konei, UC Ko te kaha o te joules, q te utu i roto i nga Coulombs, ko C te kaha i roto i nga papa.
Mo nga kaiwhakarato i roto i te raupapa, whakaarohia kia rua nga kaiwawao me te c1 me te C2.Ko te hononga i waenga i te utu me te ngaohiko mo ia Kaitautoko ka tukuna e C = vQ.I roto i te whirihoranga raupapa, ko te taua utu Q kei runga i ia Kaitatau:

Ko te tapeke o te hiko e rongoa ana i roto i te punaha ko te tapeke o nga kaha takitahi:

E whakaatu ana tenei ko te kaha o te kaha o nga kaiwhakahaere raupapa ko te utu o te kaha takitahi, ka hurihia te katoa o te ropu kaha ki te whirihora kotahi ranei.
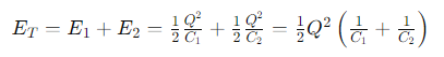
Mo nga Kaihautū i roto i te rite, he rite ano ia o nga kaiwawao i a ia.Ko te kaha mo ia ka taea te whakapuaki ma te whakamahi i te tauira-a-rorohiko:

Mena e rua nga kaiwhakahaere c1 me c2 kei te rite, kei te rite ano te ngaohiko v kia rite ki a raatau, ko o raatau penapena pūngao katoa:

Ko tenei tatauranga e whakaatu ana ko te katoa o te kaha o te capacitacens ko te tapeke o nga mahi takitahi, ka piki ake te katoa o te kaha o te kaha ki te whakarite ki nga whirihoranga takitahi.
Ko te whakamahi i nga Kaitautoko i roto i te raupapa e tuku ana i etahi painga, tae atu ki te ngaohiko mahi nui rawa atu.Ko tenei whirihoranga ka taea e koe te kaha ake o te aukati i te kaha o te aukati, ina koa ka piki te 100kω teitei ake ranei) ka whakatauhia puta noa i ia kaiwhakawao kia pai ake ai te tohatoha.
Ko te whakamahi i nga Kaihautū i roto i nga raupapa ka puta me nga ngoikoretanga, tae atu ki te take o te tiritiri kore.He rerekee i roto i nga momo riihi, otira i roto i nga Kaiwhakamahi Pūhiko, ka puta i tetahi kaitautoko e pa ana ki te ngaohiko, ka raru pea.Ko nga rereketanga iti i roto i te hangahanga, i nga reeti pakeke ranei e whai waahi ana ki nga rereketanga o te riihi i naianei, e pa ana ki te tohatoha tohu.Ko te riihi i roto i nga kaihokohoko electrolytic e kaha ana ki te piki haere i roto i te waa, ina koa kaore i te whakamahia i nga wa katoa.Ahakoa me te aukati whakaeke i te waahi, me waiho e ia tetahi taatai i roto i te ngaohiko mahi, ina koa mo nga kaitohu electrolytic, kia pai ai te mahi.
Te Rorohiko Te Hokohoko: Ko te hono honohono i roto i te toa rite te kaha ake i te wa e noho ana i te waa na te mea ko te whakapau kaha ko te katoa o te hunga uaua katoa.
He pai ake te pauna: He pai ake te toenga o nga peekehanga o te taiao ki te whakaheke i nga whakaeke whakaheke, whakaheke i nga utu me nga raru o te mana.
Te Tino Utu: He iti ake te hunga whakaeke i te hononga honohono i te moni penapena moni me te ngawari ki te punaha.
Taputapu Ui: I roto i te waahanga-a-papa, ka tohatoha katoa nga kaihoahoa.Ko te huringa teitei e whāiti ana e te kaiwhakawa-iti rawa.Hei tauira, mena ka whakatauhia tetahi kaitautoko i te 200v me etahi atu i te 500V, ka taea e te punaha katoa te whakahaere i te 200v.
Nga Taapiri Haumaru: Ka taea e te Kaihauturu Paetukutuku te nui o te kaha, ka taea te kino mena he poto te waahi, ka raru pea te kino me nga whara.
Te Huringa Korekore: I roto i nga whakatakotoranga matatini, mena ka takahia e te Kaitatau tetahi, ko etahi me hapai i te tino huringa, ka arahi ki te kore o te punaha katoa.Ko tenei tupono he iti ake te hononga o te raupapa i te kore e pa ki tetahi o nga kaiwhakawa tetahi ki etahi atu.
Ko tenei tirohanga taipitopito i nga Kaitautoko e awhina ana ia tatou ki te mohio ki a raatau mahi me nga whakaaro nui mo te whakamahi i nga hikohiko hou.Ko nga huinga raupapa ka whakapiki i te ngaohiko me te whakahaere i te tohatoha te ngaohiko engari ka whakaiti i te kaha me te whakapiki i te kaha ki nga rereketanga.Ko nga tatūnga whakarara te whakanui i te rokiroki kaha me te kaha o te kaha, he pai mo te whakahaere pūngao i nga waahi iti, engari ka tupono noa iho te tangata ki te kore e paoa tetahi tangata.Ko te kowhiringa i waenga i nga raupapa me nga whirihoranga tuuturu e whakawhirinaki ana ki nga hiahia miihini motuhake, te toenga o te waahi, te utu, me te mahi.Ko nga tirohanga whakahirahira me te whai kiko e whakanui ana i te kowhiringa Kaitatau me te hoahoa aratohu kia pai ai nga punaha hiko.
Ko nga kaiwhakatakoto raupapa e whakamahia ana hei whakaiti i te huringa o te waahi i runga ake, ka pai ake te tuku whakawhiti mo te tawhiti roa me te whakarei ake i nga ture o te waa.I te hono o nga Kaitautoko i roto i te raupapa, ka heke te katoa o te kaha.Ko tenei whirihoranga he rite tonu te utu mo te katoa o nga Kaitato, ka puta he wehewehenga o te katoa o te ngaohiko puta noa i ia kaitautoko i runga i tona uara kaha.Ko tenei ahuatanga e tino whai hua ana ki nga tono penei i te honohono tohu me te tātari, kei hea te whaainga ko te aukati i te waa (DC) i te wa e tuku ana.
Ka whakamahia nga kaiwhakatakoto raupapa i te wa e hiahiatia ana hei whakatika i te huringa o te waahi, ina koa i roto i nga tono nui-maha.Ka mahi hoki ratou ki te whakatutuki i te wehewehe ngaohiko i roto i te waahi.I roto i nga punaha mana, ka whakamahia nga kaiwhakahaere raupapa hei whakapiki i te kaha o nga raina whakawhiti hiko ma te utu i nga hononga roa ki te rere i raro i nga tikanga rereke.
E rua nga kaiwhakahaere kei roto i te raupapa mēnā e hono ana rātou ki te mutunga o te hono ki te huringa kino o tetahi, a, e rua noa nga tohu e pa ana ki etahi atu waahanga porowhita.Ko tenei whakaritenga e whakarite kia whakarite te utu me te tuku i te rere o naianei na roto i a raatau.Ka taea hoki te tatau te katoa o te kaha ki te whakaoti i tenei;Mo nga kaiwhakarato raupapa, ko te utu mo te katoa o te whakapau kaha ko te tapeke o nga utu o te takitahi.
I te hono o nga Kaiwhakamahi ki te rite, te katoa o te kaha o te huringa.Ma tenei whirihoranga ka taea e ia a te kaiwawao te pupuri i taua ngaohiko, ka arahi ki te kohi i te kaha o te utu puta noa i nga kaiwhakawa.Ka whakamahia nga kaiwhakatakoto whakariterite hei whakapiki i te ngaohiko me te penapena ake i nga punaha kei te hiahiatia te kaha o te kaha ki te kore e nui ake te whakatauranga o nga kaiwhakatuma takitahi.
Ko te whirihoranga ake kaore e whakapiki i te huringa tuku taketake;Heoi, ko te tohatoha huringa i roto i te huringa rereke.I roto i te whirihoranga raupapa, kua wehea te huringa i waenga o nga kaiwhakawhanake i runga i a raatau takitahi.He rereke, i roto i te whirihoranga whakarara, ka mau tonu te ngaohiko i ia Kaihaututu te rite ki te ngaohiko tuku.
Ae, i roto i te huringa whakaraerae, ko te ngaohiko te rite ki ia Kaitako te rite ki te katoa o te ngaohanga i tukuna ki te waahi.Ko tenei tohatoha momo o te ngaohiko e hanga ana i nga kaihokohoko rite ki nga tono e hiahiatia ana e te waatea noa puta noa i nga waahanga maha.
Tena koa tukuna mai he uiui, ka whakautu wawe taatau.
i te 2024/06/11
i te 2024/06/11
i te 8000/04/18 147757
i te 2000/04/18 111931
i te 1600/04/18 111349
i te 0400/04/18 83719
i te 1970/01/1 79508
i te 1970/01/1 66884
i te 1970/01/1 63010
i te 1970/01/1 62980
i te 1970/01/1 54081
i te 1970/01/1 52108