
Whakaahua 1: Nga tatauranga o naianei i nga waahanga
I roto i nga huringa whakarara, ko nga waahanga o naianei i roto i nga momo manga e pa ana ki te whakaekenga o ia peka.Ko tenei kaupapa e rite ana ki nga momo wehenga o te ngao engari e pa ana ki nga mahi o te ao.Ko te rerenga o tenei wa i roto i tetahi arai i roto i te huringa, penei i te R1 i whakaritea ki te R3, ka mau tonu te ōwehenga kua whakaritea, ahakoa ka rereke te putake.Hei tauira, ki te mea ko te waa o te R1 i nga wa katoa e rua nga wa o te R3, ka mau tonu tenei paanga mo te huringa o te puna.Ko tenei whanonga whakapae e whakamarama ana e te ture o Ohm, e kii ana ko te waa kei roto i te arai i te waahi o te huringa whakarara he rite ki te aukati.
Ko nga waahanga takirua e mahi ana hei kaiwhakamaori o naianei, ka wehewehe i te katoa mai i te puna ki nga waahanga e pa ana ki nga paanga.Ka taea tenei te whakapuaki i te pangarau hei
kai whea
ko te mea na roto i te tuumomo
me
Ko te anga tonu puta noa i nga waahanga whakariterite katoa.Ko tenei whanaungatanga e whakaatu ana ko te wehenga o naianei kei runga i nga uara tuuturu engari ko te tikanga o te tiakitanga o naianei, ko te katoa o te waa e uru ana ki te katoa o naianei.

Whakaahua 2: He tauira Kaiwehenga Kaimanaaki o naianei
Ko te tātai tuuturu o naianei he kaupapa nui i roto i te miihini hiko mo te tātari i nga rerenga o naianei i roto i nga waahanga orite.E whakaatu ana ko te waa na roto i tetahi peka i roto i tetahi peka e rite ana ki te whakaekenga o taua peka, ka whakaritea ki te whakaeke katoa o nga manga katoa.Ka awhina tenei ki te ngawari ki te whakatau i te tohatoha o te waa ki waenga i nga huarahi rereke i roto i te waahi.
Ki te whakapuaki i tenei taapiri, ko te waa na roto i te arai i roto i te waahi takirua e kiia ana ko te whakamahi:

Konei,
Ko te katoa o nga waa e uru ana ki te whatunga whakarara,
ko te toenga rite o te whatunga whakarara, me te
e whakaatu ana i te whakaeke o ia manga., tatauhia e:

Kei te hiahiatia tenei tātai mo nga miihini me nga tohunga hangarau na te mea ka tohuhia e ratou te waa o te peka o te huringa whakarara me te kore e ine i te ngaohiko.I tua atu i nga tatauranga taapiri, ka awhina i nga waahanga hoahoa me nga ahuatanga o naianei.Ko tenei arotiutanga he hihiri hei whakapiki i te mahinga o nga punaha penei me te whakarite i te haumaru ma te whakarite i nga waahanga e whakahaere ana i roto i o raatau rohe.

Whakaahua 3: Te wehewehe Didiar o naianei me nga ture wehewehe
Ko te maarama ki nga rereketanga me nga ritenga i waenga i te ngaohiko me nga whārite tuupepa o naianei ka taea te awhina i nga hapa penei i te he o nga tatauranga whakakeke.Ko nga tauira e rua e tohatoha ana i te whakauru katoa (o naianei, i te ngaohiko ranei) puta noa i nga waahanga e pa ana ki o raatau tuunga, engari ka whakahaere ratou i raro i nga momo rereke me te whakamahi i nga huarahi motuhake ki te aukati.
Ko te tātai kaimawai o naianei e whakamahia ana i roto i nga huringa whakarara kia kitea ai te waa na roto i tetahi peka.E whakaatu ana ko te waa o tenei wa he rite te rite ki te whakaeke i whakaritea ki te whakaeke i te taapiri.Ko te tikanga ko nga manga me te ātete o raro ka kawe i te rahi o te katoa o te waa.Ko te tauira Kaihanga Kaihanga Kaitohu e pa ana ki nga waahanga raupapa me te whakatau i te ngaohiko puta noa i tetahi waahanga motuhake.E tohu ana ko te huringa puta noa i tetahi waahanga he rite ki tona whakaeke i whakaritea ki te whakaeke i nga raupapa.Na reira, ko nga waahanga me te kaha ake o te ātete ka nui ake te waahanga o te maturuturunga katoa.
Ko nga tikanga e rua e hanga ana i nga tatauranga o te matua, iti iho i te kotahi, e whakaatu ana i a raatau mahi kia rite ki nga wehenga.I wehe ratou i tetahi whakaurunga (o naianei, i te ngaohiko ranei) ki nga waahanga iti ake, ki nga waahanga nahanaha, kaua ki te whakapiki ake i nga uara.Te tautuhi mehemea kei roto i te raupapa te raupapa, he rite ranei mo te whakamahi i te tātai tika.Ko tenei rereketanga e whakatau ana me pehea te wehewehe i nga huarahi o mua, i roto i nga huarahi whakarara ranei i te huarahi o te raupapa.
Kei te hiahiatia nga wehenga o naianei ki nga waahanga miihini hiko, ka taea te whakahaere tika o te rere o naianei hei ine i te whakamahinga hiko.Ko enei waahanga ka tono i tetahi hautanga motuhake o te waa na roto i te taonga whai kiko, ka tutuki i te whakamahi i te kaawhiawhi kua tohua ki te tauira wehewehe.
Whakaarohia he mita hiko i hangaia hei ine i nga mea nui e kore e taea e nga taonga paerewa te whakahaere tika.Ma te whakatakoto i te arai puhipuhi i te wa e rite ana ki te taputapu whanganga, ko te tikanga o te kaiwhakamaori o naianei, ko te hautanga o te waa anake, kua whakatauhia i nga rerenga o naianei.

Ko te tatauranga ko te kowhiri i te uara o te shum e, i whakauruhia me te ātete o te mita, ka wehewehe i te waa.Konei,
ko te katoa o naianei,
ko te ātete o te mita, a
Ko te ātete o te kaiwhakatuma Swant.Ma te ata whiriwhiri
, Ka taea e nga miihini te whakahaere i te rerenga o naianei, ko te whakarite kia noho tonu i roto i nga rohe whakahaere haumaru i te wa e whakarato ana i nga raraunga tika mo te tatauranga whakamahinga mana mana.

Whakaahua 4: Te whakahaere a nga kaiwhakamaori o naianei
Te tātai i te tohatoha o naianei ki nga waahanga takirua ma te whakahaere i te ture wehewehe (CDR) e hiahia ana ki te whakarite tika me te pono.
Hipanga 1: Tirohia te whirihoranga huringa
Tuatahi, whakaū kua whakaritea te huringa i te rite.Ko te CDR e tono ana ki nga waahanga takirua kei te waatea te huringa puta noa i nga waahanga katoa, engari he rereke nga ahuatanga o nga uara.
Hipanga 2: Whakatauhia te katoa o naianei
Panuku, tautuhia te katoa o nga waa e uru ana ki te waahanga-a-papa.Ka taea te ine tika mai i nga raraunga whakamatautau, i ahu mai ranei i te ture o Ohm.Mena ki te whakamahi i te ture a Ohm, Tuhia te katoa o nga waa ma te wehewehe i te ngaohiko katoa na te whakaekenga rite o te waahi.
Hipanga 3: Tuhia te whakaekenga rite
Tātaihia te katoa o te ātete o ngā manga whakaraerae.Ka mahia tenei ma te rapu i nga utu o te moni o nga utu o te hunga takitahi:
Hipanga 4: Tuhia te waa mo ia manga
Mo ia peka i te huringa, te whakamahi i te tauira CDR hei whakatau i nga waa takitahi:
kai whea
Ko te tohetohe o te manga ka tātarihia.
Taahiraa 5: A tapiti i te maha o nga manga
Mena he maha nga manga he maha nga manga, tukurua te tatauranga mo ia tangata.Me whakarite kia tika nga whakaekenga me nga waa katoa.
Hipanga 6: Tirohia me te whakamana
Hei whakamutunga, manatoko i nga tatauranga ma te tirotiro ko te moni o nga namu i nga manga katoa e rite ana te katoa o te waa e uru ana ki te waahi o te waa.Ko tenei tohu me te kaupapa o te tiaki i a raatau inaianei.Hei taapiri, whakaū i nga kaupapa o te ao me nga tohutohu o naianei hei aukati i nga hapa ki te inenga, te whakamaori ranei.
Ko te ture wehewehe (CDR) e hiahiatia ana mo te tohatoha tika i roto i nga tono miihini hiko, e whai wāhi nui ana ki te hoahoa paewhiri me te whakahaere whai hua.He mea nui ki te whakahaere i te uta i roto i nga waahanga takirua, kei reira e whai kiko ana nga korero o nga rerenga o ia manga.Ma tenei ka whakarite kia whakatauhia nga waahanga ka taea te whakahaere i a raatau ohie me te kore e raru te mate, he nui nga waahanga o nga manga.I tua atu, ko te CDR he mea nui ki te whakahaere i te wehenga mana i nga waahanga ka taea te pakaru, te kaha ki te kaha o nga tono hiko penei i nga waahanga hiko me nga punaha whakahaere hiko.
He painga ano hoki a CDR ki nga huringa matatini me nga manga maha.Ka taea e nga miihini te maarama me pehea te tohatoha o te waa ki runga i nga huarahi, he mea whai hua ki te arotau i te papaa hurihuri me te kowhiri i nga waahanga tika.Ko tenei matauranga hohonu e awhina ana i nga waahanga o te waahi ka whakahaerehia i roto i nga rohe haumaru, he mea nui i roto i te waahanga hoahoa, tiaki, me te raru.I roto i te katoa, ko te kaha o te CDR ki te matapae me te whakahaere i nga waa o te whai waahi ki te pono me te haumaru o nga punaha hiko.

Whakaahua 5: Te Kaiwhakawhanake Tuarua o naianei
He mea nui te aukati i nga huringa kaiwehe i roto i nga miihini hiko, te whakaatu me pehea te tohatoha i roto i nga huinga whakariterite.Ko enei waahanga ka uru ki te rua, neke atu ranei o nga tuumomo i te rite, ka whiwhi ia i tetahi waahanga o te katoa o te whakauru, ka pa ki te waahi ka hoki mai ki te puna.
Ko te mahinga o nga wehenga o naianei e whakawhirinaki ana ki te ture o Kirchhoff inaianei, e kii ana ko te tapeke o nga waa e uru ana ki te katoa o te waa e waiho ana i te katoa o naianei.Ma tenei e whakarite ko te moni o nga waa na roto i ia ara whakarara he rite ki te waahi tuatahi e uru ana ki te waahi.
Ko te Ture a Ohm he mea nui ki enei waahanga, ki te whakarato tikanga ki te tarai i nga waa na roto i ia tuumotu.Mai i te mea ko te ngaohiko puta noa i nga whakaeke katoa i roto i te waahanga takirua he rite tonu, ka taea e te ture o OHM te whakauru ngawari o te waa o ia manga:
kai wheaK Ko te huringa puta noa i nga kaiwero, a Rwhakaahua x Ko te ātete o te peka motuhake.
Ko nga huringa wehewehe takiwa o naianei he tauira tika mo te wehewehe.I roto i nga kupu whaitake, te tātari me pehea te whakahaere i enei o nga waa e hiahiatia ana hei hoahoa i nga waahanga e hiahia ana kia tutuki nga taumata o naianei.Hei tauira, i roto i nga punaha kei te hiahiatia nga waahanga rereke ki nga taumata o naianei, ka taea e te kaiwehewehe i naianei ka taea te toha i nga waa tika i runga i nga uara tuuturu.
Ko te huarahi pai ki te tātari i nga waahanga wehewehe takiwa o naianei ma te whakamahi i te mana kaore i te whakaeke.Te Manaakitanga, Ko te whakautu ki te ātete, te whakarite i te tukanga o te tohatoha o naianei ki nga waahanga o mua.
I roto i nga huringa whakarara, ko te tātai i te katoa o te katoa o te nuinga.Te katoa o te whaaingaPēpupūtanga Ko te moni o nga whakahaere o ia kaiwhakaora whakariterite:
kai whea
ko nga whakahaere o nga kaihopu rite.
Ina mohio koe ki te katoa o te whaainga, ko te rapu i te waa na roto i ia peka ka ngawari ake.Ko te waa o naianei Ahauwhakaahua xi tetahi peka me te whakahaerePēwhakaahua x Ka hoatu e:

Ma tenei tātai e taea ai te whakauru i nga peka o nga peka ma te whakamahi i te hiahia ki te tātai tuatahi i te whakaekenga rite me te whakamahi i te ture wehewehe o te reanga.
Ko te whakamahi i nga whakahaere he mea tino whai hua ki nga huringa matatini e taea ai te tarai i nga tuukino takitahi me te katoa o nga mate.Ko te huri i nga tuukino ki te whakahaere e ngawari ana ki nga moni, e hanga ana i nga tatauranga o naianei me te whakaiti i nga hapa pea.Ko te tango i te Putanga mo te wehenga o naianei ka whakapiki i te ngawari me te kaha o te tātari hiko.
Ma te whakamahi i nga huarahi ki te tono i te ture a te kaiwhakamahara o naianei he huarahi maamaa ki te tātari i nga rerenga o naianei i roto i nga waahanga takirua.Ko tenei tikanga e hono ana ki nga ahuatanga o te whakahaere hiko, ka mau i te mohio ki te tohatoha i nga waahanga rereke.
Ka whakaritea ki nga tikanga tuku iho-tuku iho, ma te whakamahi i nga tatauranga e tohatoha ana i nga waa o naianei.I roto i tenei huarahi, ko te whanonga o ia manga kei roto i te kaipupuri o ia manga kei roto i te nama, e whakaatu ana i taua mana teitei ake (te ātete o te heke) ka piki ake te rere o nāianei.Ko te waa na roto i tetahi peka i roto i tetahi waahanga-a-papa ka tukuna e:

Konei,Pēwhakaahua x ko te whakahaere o te peka,Pēpupūtanga ko te moni o te whakahaere o nga manga katoa, aAhaupupūtanga Ko te katoa o te kōhanga e uru ana ki te waahi.Ko tenei tikanga-a-mana e whakaatu ana i te pikitia ngawari o te rere o nga waahanga i roto i nga waahanga me nga huarahi e rite ana.He tino whai hua ki nga punaha matatini, ki te aro tika o te arorau ki te ngawari o te rere o nga rerenga o ia waahanga.
Ko te ture o te kaiwhakamahara o naianei ko te taputapu nui mo te tātari i nga rerenga o naianei i roto i nga waahanga hiko hiko, inaa ko nga manga rite ki nga peka maha.Ko tenei ture e hiahiatia ana hei whakatau i nga taangata takitahi na roto i ia tuumotu, ina koa i nga whatunga uaua e whakawero ana i te inenga tika, he koretake ranei.
FALALLEL FISELOR: Ko tenei ture kua hoahoa motuhake mo nga whakaritenga whakariterite rite.Hei tauira, i roto i te waahi ka nohoia e te R1 me te R2, ko te katoa o te waa e uru ana ki te kohanga i te R1 me te R2 nga wehenga i waenga i a raatau.Ko tenei wehenga e ngawari ana ki te tātai i nga waa o ia manga, ko te mahi i nga waahanga huringa ake me te pono mo nga momo tono, mai i te hiko taketake ki te punaha miihini.
Ko te whakaritenga ngaohiko whakakotahi: Ko te tikanga nui mo te tono i te ture wehewehe o tenei wa, kei te rite ano te ngao o te peka o ia pu.Ko tenei kohinga whakakotahi e whakapumau ana i nga tatauranga tika, me te kii i nga taumata huringa rite mo ia tuumotu.Mena he rereketanga nga rereketanga, nga whakarereke o nga huringa penei i te whakaputa i nga punaha ahuwhenua e rite ana ki te whakaora i nga tikanga e tika ana mo te ture wehewehe.
Te aukati i nga waahanga raina: Ko te ture o te kaiwhakamahara o naianei ko nga waahanga raina e whai ana i te ture o Ohm, ko te mea he rite tonu te waahanga ki te aukati.Kaore tenei ture e pa ki nga huanga kore-raina penei i te Diodes ranei nga kaiwhakaari, he rereke nga ātete ki te huringa tono.Mo nga waahanga me era waahanga, me whai waahi nga kaitirotiro ki nga ahuatanga kore-raina, penei i te tātaritanga raina raina, i te kaupapa whakahiato motuhake ranei.
Te ahua-a-whenua: Ko te ture wehewehe o naianei e kii ana i te waahi tuuturu, kei reira tonu nga puia me nga waa katoa.He mea nui tenei ahuatanga na te mea ko te hurihuri-rite ki te whakawhiti i nga waahanga-ka taea te whakarereke i te waa poto, i te huringa ranei o te waa, i te kaha o te tātari.I roto i nga tikanga hihiri, penei i te whakatauira mo te whakatauira rereke, he rereke ranei te hopu i nga whanonga korero, ki te whakarato i nga tikanga taipitopito mo te hihiritanga o te ao.
Ko te ture wehewehe o te ao e whakamahia nuitia ana i roto i nga ahuatanga o te ao-a-ao, mai i nga waahanga ngawari e rua ki nga punaha matatini me nga puna kaha me nga puna kaha.Ko enei tauira e whakaatu ana me pehea te tikanga o te ture kia whai hua me te whai hua.

Whakaahua 6: Te huringa rua-aukati
Whakaarohia he huringa whakarara ngawari me te katoa o nga amperes o 10 e rere ana ki te kohanga me te wehe i waenga i nga kai e rua,
Ko te ture o te kaiwhakawehenga o naianei e whakatau ana i te waa na roto i ia tuumomo penei:

E whakaatu ana tenei tauira me pehea te wehewehe i nga uara e pa ana ki nga uara tuuturu, me te whakaheke o te ātete o raro.

Whakaahua 7: Te porowhita maha-aukati
Mo te ahuatanga tino uaua, whakaarohia he waahi hiko me te aukati maha me te katoa o te 15 Amperes.Nga kaiwero
hono hono ki te rite.Ma te whakamahi i te ture wehewehe o naianei:

Ko te waa na roto i ia kaiawhina ka kitea e:

Ko tenei tatauranga e whakaatu ana i nga ahuatanga o te paanga o te hunga e pa ana ki te tohatoha o naianei.
Ko nga taangata o naianei he mahi nui i roto i nga momo tono i roto i nga hikohiko me nga miihini hiko.E hiahiatia ana mo nga mahi mai i nga waahanga e pa ana ki te aro turuki i nga punaha.

Whakaahua 8: Ko nga kaiwhakaari o nga kaihoroi i roto i nga waahanga hiko
Kei te hiahiatia nga kaiwhakarato o naianei mo nga kaiwhakaari o mua.Na te mea tika e wehewehe ana i te rere o tenei wa ki te turanga o te kaiwhiwhi, ka awhina ratou i te waahi whakahaere i roto i te rohe kaha.Ma tenei ka whakarite i nga mahi a te Amplifier me te pai o te huri ki nga waahanga mamati.

Whakaahua 9: Te tohatoha o nga taonga mana
I roto i nga waahanga tohatoha kaha, ka tohatoha nga reipa o naianei i roto i nga momo waahanga haumaru me te pai.Ma tenei ka aukati i te waahanga ka kaha te pupuri me te pupuri i nga puia whakaputa i raro i nga tikanga kawenga, kia pai ai te whaikorero me te whai hua o nga taonga mana.

Whakaata 10: Nga tikanga o te waa o naianei
Ko nga kaiwhakamaori o naianei he whakaotinga i roto i nga tono tino pai.Ka arahi i te nui o te whakahaeretanga o te waa na roto i nga kaitoro, ara ko te rangatira i roto i nga taiao-nui nei penei i nga punaha whakahaere motuka.Ko te ine i tetahi waahanga iti, te rite tonu ka taea e te aro turuki i te punaha me te whakahaere punaha.

Whakaahua 11: Te hurihanga-ki-te whakawhitinga
I roto i nga mahinga faafariu-ki-inaianei, e whakatika ana nga tohunga o naianei ki te whakaputa i te waa i runga i te ngaohiko whakauru.Koinei te mea nui i roto i te whakawhiti whakawhiti, me huri nga tohu sensor ki te tuku-tawhiti me te kore e ngaro te pono.

Whakaahua 12: Te tohatoha tohu i nga punaha hiko
Ko nga rehitatanga o naianei ano hoki ka tohatoha tohu i roto i nga punaha hiko, ka tohaina nga tohu i waenga i nga huarahi whakarara me te iti o te ngaro, te ngaro ranei.
Ko te tūhura o nga ōwehenga o naianei me te ture wehewehe i roto i nga waahanga takirua e whakaatu ana i tetahi waahanga nui o te miihini hiko me nga tono-tae atu.Ma te mohio ki te tohatoha o te waa puta noa i nga manga rereke e pa ana ki o raatau whakaeke, ka taea e nga miihini te hoahoa i nga porowhita e rua, he haumaru hoki.Ko nga maaramatanga hangarau i korerohia, penei i te ture a Ohm me te kirchhoff inaianei, ehara i te mea nui mo nga kaitono, ko te hoahoa o nga waahanga whakauru.
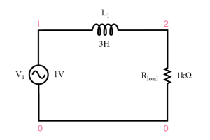
I roto i te huringa kei roto i nga kaiwhakawao, ko te ture wehewehe o naianei e pa ana ki nga mea e pa ana ki te nuinga o te waa e pa ana ki nga kaiwhakaari.Ko te tauira mo te waa o naianei na roto i te kaiwhakatakoto i roto i te whatunga whakarara ko:

Kai whea Ahauko te katoa o te whakauru i te whatungaZc Ko te mea nui o te kaiwhakawa, me te ZpupūtangaKo te rite te korero mo te whatunga whakarara.
Ko te kaiwehewehe i te huringa ko te whakaputa i tetahi hautanga o tana ngaohiko whakauru puta noa i tetahi taumahatanga.E rua nga wa e nohoia ana e te nuinga o nga wa o te raupapa, me te huringa putanga i tangohia e tetahi o ratou.
Ko te kaiwehewehe i naianei ko te whirihoranga kei reira nga huringa o naianei ki nga huarahi maha i roto i te waahi hiko me nga manga rereke e whai kiko ana.Ko te tohatoha o naianei e whakawhirinaki ana ki te nuinga o ia peka.
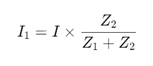
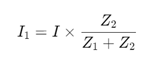
Mo te huringa tuuturu o naianei me nga manga e rua e whai kiko anaZ1 me Z2 te waa o naianeiZ1 Ka hoatu e:

Ko tenei tātai e pa ana ki tetahi waahanga paanui (nga kaiwhakamaori, kaiwawao, inductors), e whakatika ana i te tika.
Hei whakaoti mo te waa o tenei wa, ka whakamahi koe i te ture a Ohm,
kai wheaK Ko te huringa,Ahau Ko te waa, a R Ko te ātete.I roto i nga huringa matatini, ka whakamahi pea koe i te ture o te Kirchhoff me te ture a Kirchhoff (KVL) me nga uara kino mo nga Kaitautoko me nga Induct
Ko te ture o Ohm he mea nui mo te maarama ki nga hononga hiko, e kii ana ko te waa i waenga i te kaiarahi i waenga i nga tohu e rua me te rite ki te aukati.
Ko te ture o Kirchhoff a Kirchhoff (KPL) e kii ana ko te tapeke o enei waa e uru ana ki te waarangi me rite te katoa o te waa.
Ko te Ture Whakahaa a Kirchhoff (KVL) e kii ana ko te moni o nga rereketanga hiko hiko huri noa i tetahi whatunga kati ko te kore.
Tena koa tukuna mai he uiui, ka whakautu wawe taatau.
i te 2024/06/17
i te 2024/06/14
i te 8000/04/18 147757
i te 2000/04/18 111931
i te 1600/04/18 111349
i te 0400/04/18 83719
i te 1970/01/1 79508
i te 1970/01/1 66886
i te 1970/01/1 63010
i te 1970/01/1 62984
i te 1970/01/1 54081
i te 1970/01/1 52108