
He Plug Flaictor (PFR), e kiia ana ko te reeti rere piston, he taputapu nui i roto i te miihini matūhiko e whakamahia ana ki te ako me pehea te tupu o te paheketanga matū i roto i te ngongo roa.I roto i tenei momo o te reactor, ka tukuna nga rerenga ki tetahi pito ka neke haere i te ngongo ki tetahi atu pito i te tere tere.He maeneene te rere, he ahakoa, kaore he pupuhi, he whakaranu ranei i te huarahi.Koinei te tikanga o nga rerenga ka haere i roto i nga papanga motuhake, i nga taara ranei, te pupuri i nga waahanga rereke o te uruparenga.I etahi atu kupu, ko nga rerenga ka uru ki te ngongo i mua ake nei i mua o nga rerenga ka uru mai ki muri, kaore e uru tahi raua i a raatau e haere ana.Ka awhina tenei ki te whakahaere i te tauhohenga matū na te mea ka puritia nga tauhohe, ka waiho ia waahanga o te tauhohenga ki te mahi i te waa e rere ana nga rerenga ma te ngongo.
Ko te huarahi motuhake e neke ana i te PFR he painga nui mo nga tauhohenga matū.Mai i te mea kaore he whakaranu o muri, ko ia papa o te wai te nuinga o te waa i roto i te kaiwhakataetae, e arahi ana ki te mahi urupare rite tonu.Ma tenei ka ngawari ake te matapae he aha te hua ka hangaia na te mea he rite te waa urupare mo nga waahanga katoa o te wai.Ka taea e koe te whakatika i te roa me te whanui o te ngongo, te tere o te rere, me te pāmahana hei whakahaere i te tauhohenga me te whiwhi hua pai.He tino painga nga kaiwhakaora rere mo nga tauhohenga e hiahia ana ki te pāmahana nui, ki te whakauru ranei i nga hau.Ka whakamahia e ratau i roto i nga umanga penei i te whakatikatika hinu, te whakarite i nga kirihou, me te rongoa i nga hau ururua.He pai hoki tenei hoahoa mo te whakaputa nui-rahi na te mea he ngawari ake te matapae me te whakahaere i nga mea e tupu ana i roto i te kaiwhakanao.
Ko nga kaiwhakaora rere whakauru (PFR) e whakaatuhia ana e o raatau rerenga unidirectional, kei reira nga tauatapa me nga hua ka neke haere i te taha o te reanga.Ka tutuki tenei tauira rerenga rerenga ma te hoahoa i te reactor hei piripiri ngongo, e whakaiti ana i nga waahanga o te wai.I roto i te PFR, ko nga huanga o te wai, e kiia nei ko nga momo, kia mau tonu to raatau tuakiri i a raatau e ahu whakamua ana i te tauhohe, ko te tikanga he rereke te rereketanga i waenga i nga piri.He mea nui tenei nekehanga ki te whakatutuki i nga mana o te kinetics na te mea ka wheako ia motuku mo nga ahuatanga o te tauhohenga me te maaramatanga i te tauhohe.Ko nga kaiwhakatika i te urunga e tutaki ana i nga tino aro nui me te taiao matū o te matū, ka taea te whakamahi i te rautaki ki te pana i nga rehenga tere tere.

Whakaata 2. Mono te Rorohiko Huringa (PFR) Te whakaaturanga rerenga a te PFR
I te mea ka heke haere nga hononga, ka heke te kukume i te pikinga o nga hua ka piki haere, e whai ana i te waa hurihuri o te tau.He pai te ahunga whakamua o tenei punaha mo te urupare e hiahia ana ki te whakahaere i te mana stoichiometric, i te hunga whai kiko ranei ki te whakarangatira.Ma te aukati i te tukurua me te pupuri i te rere totika, ka whakaitihia e te PFR te mate o te taha taha ka puta mai mena ka uru ki te whakaranu, ki te tukurua ranei.Ma tenei ka pai ake te PFR mo nga tukanga penei i te polymerization, te whakakotahitanga, te taapiri matū matatini ranei.Ko te tauira rere e tino whakarei ana i te tika o te whakatauira me te tauine, ka whai kiko nga pfrs ki nga rangahau me nga tono ahumahi.
Ko te tautuhi i nga ahuatanga o te kaihono rere whakauru ko te whakawhanaketanga o te maaramatanga i te roa o te kaiwhakanao.I te kokoru, ka whakauruhia nga tauata ki o raatau tino aro, ki te hanga i te kaha taraiwa mo te tauhohenga kia haere tonu.I te mea ka paheke te urupare, ka heke haere te kukume i te wa e kaha haere ana te uaua o te hua.Ka whai hua tenei ki te tino mohio o te kukume i tino tautuhia e whakaatu ana i te uru ki te putanga o te kaiwhakanao.Ko tenei Gradient e tata ana ki te kokoru, kei reira nga kukume urupare kei to ratou tihi me te reanga tauhohenga he mea nui na te maha o nga tauhohenga.I te mea ka pau nga tauhohenga, ko te papaa whanui, e whakaatu ana i te reanga tauhohenga ka taea te whakatau i te punaha.
Ko te kore o te whakahoki i nga PFR e whakarite ana ko ia mono kei te wheako i te taiao kukume ahurei, e whakatairanga ana i te hurihanga tauwhitinga.Ko te kukume i te pai he painga mo nga tauhohenga me nga kinetics kukume i nga hononga, kei hea te reanga tauhohenga he mahi mo te kukume.I roto i era keehi, ko te kukume teitei i te ipu ka whakanui i te reanga tauhohenga tuatahi, ka whai hua ki te whakamahi tika i nga kaiwhakatika.Ko tenei kohi ahu whakamua o nga kaiwhakatakotoranga e whakaitihia ana te tupono o nga tauhohenga taha kaore e pai ana ki nga kukume takawaenga.Mo nga tukanga e pa ana ki nga tauhohenga whakataetae, ka taea te whakahaere i te haangai ki te pai ki te ara hua e hiahiatia ana.Ma tenei ka tino whai hua te PFR mo nga tukanga whakahiato matatini, penei i te umanga rongoā, te waahi pai o te matū, te whakamahi i te huatanga o te hua me te whakaputanga hua.
Ko tetahi o nga painga e tino pai ana mo nga kaiwhakanao rere whakauru ko te tohatoha waahi noho rite.I roto i te PFR, ko ia to taapiri o te tauhohe e whakapau ana i te wa ano e haere ana i te kaiwhakanao, mai i te kokoru ki te putanga.Ko tenei waa noho noho-rite e whakarite ana ko nga ngota urupare katoa e pa ana ki nga ahuatanga tauhohenga rite, tae atu ki te pāmahana, te pehanga, me nga tuhinga aro turuki.Ka tutuki tenei riterite na te mea ka neke haere nga hononga ki te kaiwhakamaori i roto i te ahua pai, te whakahiato me te kore e horahangatia ranei.Nā tēnei, kāhore he rereketanga o te taunekeneke i roto i te kaiwhakaari, kei roto i nga kaiwhakaari o te whakaohooho tonu (Cstrs), kei hea nga tauatapu he rereke nga rereketanga o te waahi.
He pai te waa noho pumau mo te pupuri i te kounga hua o te hua, ina koa i nga tikanga matū.Hei tauira, i roto i nga tauhohenga polymerization, ko te waa noho noho tonu te roa o te mekameka o te polymer me te tohatoha taumaha mo te taimaha, he arahi ki te mahinga hua pai.I roto i te whakahiato rongoā, ka whakamanahia e ia te purea me te kaha o te matū mo te ture me te whai hua o te hua.Ko te tohatoha wahanga o te wa e tika ana ka ngawari te whakatau i te tauira kinetic me te tauine, ka taea te whakarite tika mo te whanonga urupare i runga i te tauine ahumahi.Ko te tino mohio ka whakarei ake i te whakahaere me te arotautanga, te arahi ki te piki hua me te kaha o te utu.
E mohiotia ana nga kaiwhakanao rere mo to ratou kaha hurihuri nui mo ia waahanga o te kohinga, he mea nui ake i te mea e mau tonu ana i nga kaiwhakaora-tank.I roto i nga PFRS, ko nga tauhohenga tonu kei te haere tonu i a raatau e neke haere ana i te reactor, me te whai i te ara tauhohenga me te ahunga whakamua.Ko tenei kohinga raupapa ka whakaiti i te kaha o nga momo kaore i whakaarohia i tetahi wa i te taha o te kaiwhakawao, ka nui ake te hua o nga reiti hurihuri.Ko te kore o te whakaranu ka taea e nga kaiwhakaputa kia kitea ai nga ahuatanga o te urupare puta noa i to raatau haerenga, te whakanui i te reanga urupare me te whakaiti i te hanganga o nga hua e hiahiatia ana.He painga tenei mo nga tauhohenga tere, tino nui ranei e hiahia ana kia tere ake te whakaoranga haumaru me te hua pono.
I roto i era keehi, ko te hoahoa o te mono te whakahaere i te mana whakahaere whai hua ma te aukati i nga pihikete pāmahana kua taea te arahi ki te kohanga wera.Ko te kaha o te hurihanga nui o nga PFR e whakaheke ana i te rōrahi reactor e hiahiatia ana, e arahi ana ki nga taputapu iti me nga utu whakapaipai iti ake.Ko tenei kahatanga e whakaatu ana ki nga whakapaunga whakahaere whakaheke, kia iti ake te kaha me te iti ake o nga rauemi mata e hiahiatia ana hei whakatutuki i nga hua hua e hiahiatia ana.Ma tenei ka tino ataahua nga pfrs mo nga tono ahumahi-rahi, penei i te tukatuka hinu, te hanga matū o te matū, me nga punaha maimoatanga taiao.
Ko nga kaiwhakaora rere whakauru e whakahaere ana i raro i nga tikanga pumau, kia mau tonu ai nga reiti rere, nga tuhinga kukume, me nga tohatoha pāmahana puta noa i te kaiwhakamaori.I roto i te mahinga pumau, he mau tonu te reanga me nga reiti o waho, me te whakarite i te haere tonu o te mahi.He pai tenei pumau ki te pupuri i te kounga o te hua orite, he mea nui ki te whakamahi i nga umanga penei i te kohinga petrochemical, te whakangao polymer, me te nui o te tipu matū.Ko te tino rangatiratanga o nga PFRe e whakatika ana i te whakahaere tukatuka me te aukati na te mea ka mau tonu nga tohu whakahaere o te punaha ki te waa.
Ko te maaramatanga e whakarei ake ana i te taatai me te tukatuka, te whakaiti i te matatau o te aro turuki me te whakatika i nga ahuatanga o te urupare.Ano, ko te mahi pumau tonu e whakaitihia ana i roto i te hanganga hua, te whakarite i te pure me te kounga o te matū me te kounga nui o nga hua me nga matū matū me nga matū matū.Ko te mahi pumau-State ka whakahaere i te kaha o te kaha me te tukatuka o nga tikanga whakahaere mo te mana whakahaere o nga tukanga whakawhiti waiariki.Ma tenei ka whai kiko nga pfrs mo nga tono e hiahia ana kia whakahaere i nga kinetics tauhohenga me te huanga o te hua, ka whai waahi ki te utu utu i te mahi matū.
Ko nga kaiwhakatika rere whakauru ka hangaia hei tautoko i te whakawhitinga wera me te whakahaere i nga pāmahana i roto i te tauhohenga endothermic or endothermic ranei.Ko te tauira rerenga rite ki te aukati i te whakakotahi, te tuku i te mana o te pāmahana i te taha o te reanga.Ma tenei ka taea e tenei te whakatinanatanga o nga karepe o te pāmahana whakahaere, te whakamahi ranei i nga kaihoko wera ki te arotau i te whakahaeretanga waiariki.Ko te whakawhitinga wera e tika ana kia pai ake te whakapai ake i te kaha o te kaha, engari ka pai ake te hanga i nga pfrs ki nga tauhohenga-a-tinana, penei i te hunga whakahiato matū tino pai ranei.I roto i nga tauhohenga tino nui, ka awhina nga PFRS ki te wehe i te wera, ki te aukati i te oma wera me te whakarite mahi haumaru.Heoi, i roto i nga tauhohenga whanui, ka whai mana te kaha o te wera ki te pupuri i nga reiti urupare me te kaha hurihuri.
He pūkenga nga PFRS ka taea te whakauru i te hau-hau, te wai-wai, me te tauhohenga heterogeneous, tae atu ki te hunga e pa ana ki nga kaitara.Ko tenei whakahoahoa ka taea e raatau te whakamahi i roto i te maha o nga tikanga matū, penei i te hāora hau-waahanga, te polymerization wai-pa, me te waiora.Ko te hoahoa rere o te mono te whakapiki i te whakapiri-a-uru, te whakarei ake i nga utu urupare me nga mahi urupare mo nga tono umanga i roto i te tukatuka hinu, te miihini o te taiao.
Ko te kaiwhakanao rere whakauru (PFR) ka hangaia kia whai hua, kia whai hua i roto i te tukatuka matū.Ko te tikanga ka rite ki te ngongo roa, he kuiti ranei, he putorino ranei, e tuku ana i nga matū ka rere mai i tetahi pito ki tetahi pito.Kei roto i te ngongo, kaore he taputapu whakaranu, pera i nga kaiwhakatakoto.Na tenei, ka neke haere nga matū, ano he piston, kaore he ranunga.Ko tenei rere pumau ka awhina i nga urupare ka tupu noa, ka taea te whakahaere pai i te tere o ta raatau mahi.Ma tenei ka tino whai hua te PFR ki nga wheketere matū me nga umanga.

Whakaahua 3. Mono te rere a te kaiwhakataki
Ko te hoahoa e whakaatu ana i te kaiwhakanao rere whakauru (PFR), he momo reactor matū i hangaia mo te tukatuka matū tonu.I roto i tenei huinga, ka uru atu nga kaiwhakataki ki te urunga (X = 0) ka neke haere i te ngongo cylindrical ki te putanga (x = l).Ko te rere i roto i te kaiwhakanao e whakaatu ana, kia mau tonu ai te kōtaha tere i te wa e tere ai ia waahanga o te rewharewha ki te toki o te kaiwhakanao kaore ano kia uru.Ko tenei whakaritenga ka taea e nga kaihopu te huri haere i nga hua i a raatau e ahu whakamua ana i te taha o te reanga.Ko te waahanga o te kowhatu e tohu ana i te e tohu ana i tetahi waahanga iti noa i roto i te kaiwhakanao.Ko tenei waahanga rereke e hiahiatia ana mo te whakatauira i nga tauhohenga matū e puta ana i roto i te PFR, na te mea e awhina ana i te aromātai i te reanga urupare me te kukume i te wa o mua.
Ko te ngaro o te whakaranu rahui ka tiakina te tikanga rere o te hono, kia mau tonu ai ia waahanga o te wai ki tona tuakiri me tona hanganga puta noa i tona haerenga.I te mutunga iho, ko te kukume me te reiti tauhohe i te roa o te kaiwhakawao engari ka mau tonu ki nga waahanga whakawhiti-waahanga.Ko tenei ahuatanga o te punaha o tenei mokamoka e tika ana mo nga tukanga matū e tika ana kia mana whakahaere mo te waa tauhohenga me te hanganga hua.I te mea ko nga huanga o te wai katoa te wa kotahi te wa noho, ka tukuna e te kaiwhakaora te kounga o te kounga hua me te hurihanga o te tauwhiutanga huakore.Na te mea ko enei painga, ko nga PFR e whakamahia whānuitia ana i roto i te hanga matū, tae atu ki nga tono penei i te polymerization, te tauhonga hau-waahanga, me nga tukanga catalytic.
Ko te kaiwhakanao rere whakauru (PFR) e whakahaere ana i runga i te tauira rerenga ahurei e pupuri ana i nga ahuatanga o te tauhohenga puta noa i tona roa.Ma tenei hoahoa e mana tika te whakahaere i te waa noho, te pāmahana, me te pehanga, te mahi i nga pfrs tino pai mo nga tikanga matū e hiahia ana kia tika te whakahaere.Ko tenei waahanga e tuhura ana i nga tikanga o te PFRS me te mea nui ki te tukatuka matū matū.
I roto i te reera rere whakauru (PFR), ka neke haere tonu nga rerenga me te rite ki te ngongo cylindrical ranei, ki te hanga tauira rerenga tino pai.Ka whakauruhia nga kaiwhakataetae i tetahi pito o te kaiwhakaari me te rere haere tonu ki tetahi pito, ka puta ratou hei hua.Ma tenei hoahoa e whakarite te ahunga whakamua i te totara ki te putanga kaore he aukati i te nekehanga o te rere.Ko te hoahoanga o te kaiwhakanao e mau tonu ana i te ahunga o te rere rite tonu, ka aukati i te whakaranu whakamuri, te tukurua ranei.He mea nui tenei kaupapa unidirectional mo te tiaki i te pono o te matū me nga hua i a raatau e haere ana i te kaiwhakanao.Ko te tohu matua o tenei tauira rere ko ia waahanga iti, he hono ranei, ka pupuri tonu te wai i tana ake tuakiri matū ahurei i te wa e neke ana i roto i te kaiwhakanao.Kaore e uru ana enei papa ki a raatau ano, kia mau tonu ai te hanganga i roto i ia Monowhatu puta noa i tana haerenga.
Ko tenei wehenga o nga waahanga rerenga e pupuri ana i nga karaati korero mo nga tauhohenga matū pai.Ko te kore o te whakaranu rahui ka arahi ano hoki ki tetahi korero tauhohenga nui ake, e tuku ana i te whakatauira tika me te arotautanga o nga tikanga matū.Ko te tauira rerenga korero i roto i te PFR e whakaiti ana i te tutu me te nekehanga, hei awhina i te pono o nga awa o te taucat.Ko tenei rerenga e tino tautoko ana i te kaha o te hurihanga na te mea ka wheako nga tauhohe i nga wa katoa o te tauhohenga i a raatau e haere ana i te kaiwhakanao.Ko te kore o te whakaranu o muri ka whakarite kia rite te wa noho o ia tolu, he rite ki te waatea ki te pāmahana me te pēhanga.Ko tenei whakakotahi ka whakarei ake i nga reeti urupare me te whakapai ake i nga huatanga o te hua, ka nui ake te whakahaere o te mahi matū me te pai.Na te mea tika ki te whakahaere i nga tauira rere me nga ahuatanga o te urupare, he pai nga PFR mo nga tauhohenga e hiahia ana ki te taiao kia tutuki ai te hua me te mohio.

Whakaahua 4. Mono te reanga rere (PFR) rere tonu me te ahunga whakamua
Ko te kaha o te reactor ki te pupuri i te mahi tuuturu me te rereketanga o te kaha o te kukume, te pāmahana ranei e pai ana ki te ahumahi matū me nga rongoā.I roto i enei waahanga, ko te pupuri i te riterite o te hua me te kounga he mea nui, ko te whakatutukitanga o nga PFRs e tautoko ana i enei whakaritenga.Ko ta raatau hoahoa mo te whakarereke mo te whakatikatika ngawari o te reanga me te diameter ki te whakatutuki i nga kaha whakaputa rereke.Ko tenei ngawari, whakakotahi me o raatau ahuatanga rere rere, ka whai waahi te PFRS he whiringa pai mo te tukatuka nui-rahi.I te mutunga mai, ka whakamahia whānuitia ratou ki nga tukanga penei i te polymerization, te haangai i te haangai, me te pupuri i tetahi taiao tauhohenga e hiahiatia ana mo te kounga o te kounga hua.
Ko nga kaitakaro rere whakauru (PFRS) te tuku i nga painga maha mo nga hurihanga matū.Ka whakaratohia e ratou te mana whakahaere o te tauhohenga ma te pupuri i te reiti rere tere me te aukati i te whakaranu, te whakarite kia whai wheako nga tauhohenga i nga ahuatanga o te tauhohenga.Ka whakarei ake tenei i te kaha me te whakaiti i nga hua-a-hua, he mea nui kia rite ki nga tauhohenga tairongo penei i te waipiro waipiro ranei te whakaputa poaka.Ka tukuna ano e nga PFRS te tino ma o te hua me te rite tonu mai i te wa e pa ana nga kaiwhakatikatika me nga tikanga tauhohenga.Ma te aukati i te whakaranu, ka pai ake te maarama me te whakaheke i nga tauhohenga taha kaore e hiahiatia, kia pai ai ratou mo nga tikanga matū.Hei taapiri, e tautoko tonu ana nga PFRS i te whakaputa tonu, te whakaiti i te heke me te whakaiti i nga utu, e whakarei ake ana i te kaha ki te hanga-rahi.Ko ta ratau waatea me te ngawari ka taea mo te whakatikatika ngawari o nga reiti rere me te whakahou i nga rahinga o nga hua mai i te papura-tauine ki te hanga-rahi.Ko enei painga ka pai ake te PFRS mo nga huringa matū e whakahaere ana i nga umanga e kii ana i te tino tika me te whai hua.
Ko nga kaiwhakaora rere whakauru (PFR) kia mau tonu ai te rere rite, me te whakarite kia haere katoa nga matūtara i roto i te kaiwhakaari i te tere.Ko te whakakotahitanga o tenei unaliformality e haangai ana i nga miihini infiniterimal o te wai, kei roto i nga peakahoka, kei nga wa katoa e neke ana i te kokoru ki te putanga.I te mutunga, ko nga ngota e uru ana ki te reanga e kitea ana ki nga ahuatanga o te tauhohenga rite, tae atu ki te pāmahana, te pehanga, me te ahunga whakamua na roto i te huarahi tauhohenga.Ko tenei tauira rerenga rereke e whakaiti ana i nga rereketanga o nga reiti tauhohenga, te arahi i nga huringa matū me te whakahaere.Na na te mea kaore he whakaranu i roto i ia mono, ka tino whakatauhia te tuhinga kukume i te roa o te kaiwhakawa, me tuku kia tika te whakahaere mo nga kiore urupare.Ko tenei ahuatanga e whai hua ana te PFR ki te whakahaere i nga tauhohenga e hiahia ana ki te whakahaere i te wa noho ki te whakatutuki i nga hua tino pai.
Ko te tauira rerenga o te pfr i nga pfrs ka taea te whakakore i te whakakii i nga tauhohe, he take noa ranei i etahi atu momo reactor penei i nga kaiwhakamahara tank e whakaohooho ana.Ma te aukati i nga taunekeneke i waenga i nga tauhohenga i nga waahanga rereke o te hurihanga, te PFRS whakarei ake i te pai o te urupare me te whakarite kia nui ake te hanganga hua.Ko te kore o te whakakakahu i te whakakao i te hanganga o nga hua kaore i te whakamahia, kaore i te taunekeneke nga kaiwhakatakoto i nga tau whakanekeneke tere, ki nga hua whakamutunga ranei.Ko te taiao tauhohenga tauwehenga kua oti te hua e whai hua ana mo nga punaha matū matatini mo te kowhiringa me te tino ma.Nā tēnei, ka whakamahia whānuitia te PFR ki nga umanga e kii ana i te kohinga matū tino nui, penei i nga rongoā me nga matū motuhake.Ko te kaha ki te pupuri i nga ahuatanga o te tauhohenga rite ki te karo i te aukati i waenga i nga waahanga urupare e whakaatu ana i to raatau whakahirahira ki nga mahi miihini hangarau hou.
I roto i te kaihora rere plug (PFR), ko te wa e whakapau ai nga roopu o nga mowhiti i roto i te kaiwhakaari, he mea nui kia whiwhi i nga reiti tauhohenga pai rawa atu.I roto i te PFR, ka uru nga kaiwhakatakoto hei taapiri motuhake e neke ana i te tauhohe i te tere, te tikanga o ia o nga motika, penei i te pāmahana, i te mea e haere ana.Ko tenei putanga ka taea te whakahaere tika mo te tawhiti o te tauhohenga ka haere me te aha nga hua ka mahia.Na te mea ka whakahekehia nga momo rongoa katoa, ka taea e te tupono o nga tauhohenga o nga keehi, nga rereketanga ranei o te kounga hua.Ko tenei ka whai hua nga pfrs mo nga tauhohenga e aro nui ana ki nga huringa o te pāmahana, te pēhanga, te waa ranei.Ma te tuku i te taiao pumau me te matapae, ka awhina nga PFRS ki te whakatutuki i nga hua urupare rite me te pono, te arahi ki nga reiti tauhohenga kua pai ake.
Ko te PFR ano te aukati i te whakaranu o nga kaitautoko i te huarahi rerenga, hei awhina i te whakahaere i te urupare.Kaore i rite tonu ki nga kaiwhakataetae whakaohooho tonu (Cstrs), kei reira nga tauhohe kei te whakakotahi, ka mau tonu nga PFRS ki te haere whakamua me te kore e whakakotahi ki nga whakauru.Ma tenei ka taea te huri i nga tauhohe ki nga hua i a raatau e neke ana i te kaiwhakaari, e awhina ana i te aukati, te ngoikoretanga ranei.Ko tenei mana whakahaere mo te waa tauhohenga me te kukume ka pai ake te mohio mo te hua e hiahiatia ana, ka hua ake te hua me te pai ake o te mahi.Ko tenei taumata o te mana whakahaere he mea nui mo nga tauhohenga matatini e whakaputa ana i nga momo takawaenga, na te mea ka tika te whakahaere i enei takawaenga kia kore ai e tau nga tau.Na tenei, e hiahiatia ana te PFRS i roto i nga umanga ka taea te tino honohono, te hua, me te kounga o nga hua o te hua.
Ko te tauira tere o te rere o te miihini rere whakauru (PFRS) te whakarite i te pāmahana me nga tuhinga pehanga puta noa i te roa o te kaiwhakanao.He pai tenei whakakotahi ki te aukati i nga waahi wera o te rohe, i nga rohe makariri ranei e taea ana e te mate urupare me te kounga hua.I roto i nga tikanga matū, ka taea e nga rereketanga o te pāmahana te arahi i nga reiti urupare, na te hanganga o nga hua kaore i te pai, i nga hua kore ranei.Ma te pupuri i tetahi tuhinga pāmahana rite, ka taea e te PFR te whakahaere ake i nga kinetics tauhohenga, me te whakarite kia haere tonu nga tauhohenga matū i te reiti.He painga tenei mana mo nga tauhohenga tino nui, i te wa e taea ai te pāmahana o te pāmahana e arahi ana ki nga tauhohenga rere, kaore ano hoki i te whakawhitiwhiti korero.Ko te tohatoha o te pāmahana o te pāmahana ka whai wāhi ki te haumaru, te hua riterite, me te whakatutukitanga o te hunga whakaponokore.
I tua atu i te whakakotahitanga o te pāmahana, ko te tauira rere tonu i roto i nga pfrs me whakarite ano hoki nga tuhinga pehanga i te roa o te reanga.Ka awhina te taiao totika pumau ki te pupuri i nga reiti rere e hiahiatia ana me nga kukume urupare mo te whakatutuki i te kaha hurihuri tino pai.Ko tenei riterite te whakarei ake i te wera me te tukatuka tika te tukatuka, ka taea e te taunekeneke ki te taunekeneke i te waa o te kaapene, ki te waahi urupare ranei.Ko te pai ake o te whakawhiti i te papatipu e whakaiti ana i nga karepe kukume, ka taea e te aukati i nga reanga urupare me te pai o te whakawhitinga.Ko nga taumahatanga o te kakahu me nga tuhinga pāmahana te whakaheke i te ahotea miihini ki nga pakitara o te reeti, te roa o nga taputapu whakaheke me te whakaiti i nga utu tiaki.Ko te katoa, ko te kaha o te PFR ki te pupuri i te pāmahana kaha me te pehanga o te pēhanga ka whakanui i te whai hua me te kounga hua i te wa e whakarite ana me te mahi haumaru.
Ko nga kaiwhakanao rere whakauru (PFR) e whakarato ana i nga painga ki te whakahaere i te urupare urupare e tika ana mo te tauira rerenga me te kore o te tuara.I roto i te PFR, ko nga kaiwhakatika e neke ana i te kaiwhakaari hei mono, kia mau tonu ai o raatau tuunga puta noa i te roa o te kaiwhakanao.Ko tenei tauira rerenga o te unindirectional e taea ai mo te ahu whakamua o te tauhohenga matū, i te wa e pau ana nga tauhohe i te roa o te reactor.I te mea ka heke nga kaiwhakataetae, ka whakapumautia he maarama, he kaha tonu te pana i te urupare i mua.Ka whakarite tenei maarama kia kitea nga tauhohe ki nga ahuatanga o te tauhohenga i ia wahanga i te taha o te reactor, e whakatairanga ana i nga reiti faafariuraa pai.Ko te rere tika e whakaiti ana i te ahua o te whakaranu i nga tauhohenga me nga hua, te tiaki i te huarahi tauhohenga me te whakarei ake.Ko te kore o te whakaranu whakamuri kaore anake e whai hua ki te whakahaere pai ake i te taiao tauhohenga engari ka awhina ano hoki i te whakawhiti i waenga i nga taonga-whai hua me te whai hua.
Ko tenei ahuatanga e whai hua ana mo nga tauhohenga e whai ana i te tuatahi-ota, ki nga kinetics teitei ranei, kei te whakaawe tika te reanga tauhohenga.I roto i nga take penei, ko te kukume haere i te taha o te kaiwhakaari e whakarite ana ko te utu o te tauhohenga kei te nuinga o te waa e kaha ana te aro turorotanga, he mea nui atu i nga tauhohe.Ko te kore o te whakaranu i roto i nga PFR e kii ana ko nga waahanga urupare katoa e pa ana ki nga tikanga o te hunga e pa ana ki nga tauhohenga taha, ki te hanga ranei i nga waahanga o te-hua.Ko tenei whakaaturanga whakakotahi ka whakarei ake i te hua ki te hua e hiahiatia ana, na te mea ka whakaitihia e ia nga tupono whakataetae e puta ana i raro i nga tikanga kukū.Ma te pupuri i te taiao whakahaere me te aukati i nga huringa i roto i te kukume urupare, nga PFR e tuku ana i nga huarahi tauhohenga, te whakanui i te hua me te tino ma.
Te kōwhiri i waenga i te reactor tank whakaohooho tonu (CSTR) me te kaiwhakanao rere whakauru (PFR) e whakawhirinaki ana ki nga hiahia motuhake o tetahi mahi matū.Ko enei momo reeti e rua he tino rereke nga tikanga whakahaere me te pai mo nga mea rereke o nga tauhohenga tauhohenga.Ko te maarama ki o raatau rereketanga ka awhina ki te kowhiri i te kaupapa e tino pai ana mo te tono kua whakaritea.
Ko nga CSTRS (nga kaiwhakanake tank whakaohooho tonu) ka hangaia hei whakauru me te pupuri i nga tikanga pai, kia mau tonu ai te kukume, te pāmahana me te kaha o te reanga.Koinei te tikanga o nga tauhohe e uru ana ki te punaha, ka tino whakaranuhia ki nga kaupapa kei roto, ka uru ki te ranunga patogenees i nga wa katoa.Na te mea he pai te ahua o te taiao, ko te awa whakaputa ka waiho te reactor he hanganga ōrite ki te ranunga o roto, te whakarite i te mahi-a-iwi.Ko tenei ahuatanga e whai hua ana mo nga tauhohenga e hiahia ana ki nga tikanga whakahaere tika, na te mea ka taea te whakahaere tika mo nga taatai tauhohenga.Ko te taiao tino whakaranu e ngawari ana ki te whakatauira kinetic mai i te wa e noho tonu ana nga reiti i puta noa i te kaiwhakanao.He whai hua tenei tohu mo nga tauhohenga whakaraerae e pa ana ki te oma wera o te waiariki, ka rite ki te wera o te wehenga o te reactor puta noa i te tupono o nga waahi wera.I te mutunga, ka whakamahia e Cstrs nga tono umanga-nui kei te pupuri i te taiao tauhohenga me te whakakotahi kia pai ai te haumaru me te kaha.

Whakaahua 5. whakataurite o te whakaranu pai o te whakakotahitanga o nga kaihopu
He rereke, ko nga PFR (nga hononga rere-rere) e whakahaere ana i raro i te reanga whakaheke, ki te neke atu i nga waahanga o te wai, i muri mai hoki.Ko tenei tauira rere e whakapumau ana i te kaha o te kaiwhakawa, ko te tikanga kei te heke haere te kukume i te tauhohenga, i te wa e piki haere ana nga hua ki te putanga.Na te mea ka mau tonu a ia mono i tona hanganga matū rereke puta noa i tana haerenga, ka ahu whakamua te urupare ki te whakahaere me te whakapae i te taha o te ahunga a te reanga.Kaore i rite ki nga Ksters, e tuku ana i te whakaranu tika, ka taea e nga PFrs te whakarereke i nga hua o nga kaitakaro, te whakaiti i te whanonga o nga kaihoroi.He pai tenei whanonga rere i nga tauhohenga kei reira te whakaiti i te whakaranu-ki muri kia tutuki i te pai o te whakawhitinga.Ko te kore o te ranunga oti e whakarite ana kia whakapau kaha nga tauhohe i roto i te kaiwhakanao, me tuku ki nga kaiwhakatikatika mo nga tauhohenga motuhake mo nga tauhohenga motuhake.
Ko nga ahuatanga o te rerenga o te PFRS he painga mo te urupare e hiahia ana ki te whakahaere tika mo nga kinetics tauhohenga me te huatanga hua.Ma te aukati i te rereketanga o nga momo takawaenga ma te whakaranu, ka taea e te PFrs te pai ake o te huarahi urupare mo te arotau i te waihanga me te whakaiti i te hanganga o nga hua e hiahiatia ana.He mea nui tenei ki nga umanga penei i te petrochemical me nga rongoā me nga rongoā, kei hea te poke o te hua whakamutunga.Ko te kaha ki te pupuri i nga whakaurunga matū motuhake i roto i ia plug e taea ai te whakamahi i nga kaitakaro, i te wa e pa ana nga kaitautoko ki nga ahuatanga o te ahunga whakamua.Ahakoa te painga o te CSTRS ki te whakahaere i nga mahi pumau me te ngawari o te mana whakahaere, he pai ake te whakahaere o te pfr mo nga ahuatanga ka taea te whakarereke me te pupuri i nga mana o te kinetic.Ko te kowhiringa i waenga i te CSTR me te PFR e whakawhirinaki ana ki nga whakaritenga motuhake o te tauhohenga, tae atu ki nga mea penei i te hua hua e hiahiatia ana, te whakahaere wera, me te waa tuunga.
Ko nga hihiri rere i roto i te reanga rere whakauru (PFR) ka maarama ake i te kaupapa tino kikokore, he tino whakaranu tohutao Taha (CSTRS) i whakarite i te roa o te reanga.Ko enei o nga cstrs iti noa e whakarite ana i te whakaranu i te ahunga whakamua i te wa e mau ana i te wehenga i roto i te ahunga axial, ko te tikanga kaore ano kia uru whakamuri i waenga i nga waahanga rereke.Ma tenei ahuatanga ahurei e taea ai te whakatuu tonu i te maarama haere tonu, i reira ka heke te kaha o te urupare i te wa e piki haere ana te uruparenga mai i te kiki ki te putanga.Na tenei hoahoa, ka whai hua te pana a nga PFR ki nga tauhohenga matū me te whakarite kia pai ake te whakarereke i nga hua o te ahunga whakamua.Ko tenei tauira rerenga whanui he tino painga mo te kinetics matapae tika, na te mea ka taea e te matapae te whakatau i nga rahi urupare i runga i te whanaketanga o te waa me nga hua.Ko te kaha ki te whakahaere i nga ahuatanga o te urupare i te taha o te reanga ka whai hua nga pfrs ki nga mahi tauhohenga maha, e hiahia ana ki te whakaputa i nga waahanga o mua.
I tetahi atu taha, ka mahi tonu nga kaiwhakaari o te tanumarutanga (CSTR) i raro i te kaupapa o te kohinga katoa o te kaiwhakaari, ma te whakarite kia tohatohahia nga peara katoa.Heoi, ko tenei kohinga hua oti i roto i te tohatoha waa noho whanui, ko te tikanga kaore nga peaka katoa e whakapau kaha ana i te waa kotahi o te tauhohe.Ko etahi o nga ngota ka puta i te wa ano, i mua i te tauhohenga katoa, i te wa e noho tonu ana etahi atu i te tauhohenga mo te waa roa, e arahi ana ki nga tauhohenga, ki nga tauhohenga ranei.Ko tenei rereketanga i te wa noho ka pa ki te riterite me te kounga o te hua whakamutunga, ka iti te pai o te CSTRS mo nga urupare e hiahia ana ki te whakahaere tika, ki te kaha o te whakawhitinga.I roto i nga tono ahumahi kei te hiahiatia te urupare o te tauhohenga me te mahi pumau, ka noho tonu te CTRR ki te mahi me te kaha ki te whakahaere i nga mahi nui-nui.Heoi, mo nga tauhohenga tino whiriwhiri, ko te hunga ranei e whai kiko ana ki nga waahanga tauhohenga, e whakaatu ana i nga tohu e whai ana i te huarahi urupare kua tino tautuhia me te kore o te waa noho.
Ko nga kaiwhakatika i nga tanihi o te tank e mau tonu ana (CSTR) e whakarato ana i tetahi taiao tauhohenga pai me te kaha ki te whakamahi i nga tikanga matū e whai kiko ana ki nga kinetics tauhohenga tere ranei.Mai i te wa e mau tonu ana te whakaohooho puta noa i te tauhohe na te whakaohooho tonu i te whakaohooho, ka taea te pupuri i nga taumata pumau, kia pai ai te whakatutukitanga.He whai hua tenei mo nga tauhohenga kei te pupuri i tetahi tuhinga kukume unifirm e tika ana kia tutuki i te ahunga whakamua, me nga urupare urupare-iti ano hoki e whai hua ana te whakahou i nga tauhohenga.Ko te whakatipu tonu i roto i te CSTR e whakahaere ana i te tohatoha wera, ki te aukati i nga rereketanga o te pāmahana kua taea te arahi ki te tauhohenga o te urupare, i nga tauhohenga ranei e hiahiatia ana.Ma te pupuri i nga tikanga waiariki, ka whakaitihia e Cstrs nga tupono e pa ana ki nga tauhohenga whakaraerae, penei i te puranga o te pāmahana e taea ana te whakararu i te haumaru, i te kounga hua ranei.Ko tenei kaha ki te whakahaere i te pāmahana me te kukume me te nui o te CSTRS he whiringa pai mo nga mahi ahumahi nui-rahi, te whakaiti i nga tauhohenga taha, me te pupuri i te haumaru.
He rereke, ka tukuna he painga rereke mo te whakauru (pfrs) ka tae mai ki te mana o te kinetic me te kaha o te tauhohenga mo nga tukanga e whai kiko ana me nga reiti hurihuri.Ko te rerenga o te unidirectional o te PFR e whakarite ana kia whai ia i nga ngota o te kaihoroi.Ko tenei ahunga whakamua o nga kaiwhakaari e taea ai te whakahaere i nga ahuatanga o te urupare, he mea nui mo te tere, kaore e taea te whakarereke i nga tauhohenga.Ko te kore o te whakaurutanga e taea ai te whakahaere pai ake mo nga momo takawaenga, me whakarite kia pai ake nga waahanga o te tauhohenga i raro i nga tikanga pai hei whakanui ake i nga tikanga.Ma te pupuri i te kaha o te aro turuki me te whakamahi i te ahunga whakamua, te PFRs e whakarato ana i nga mahi pai mo nga tukanga e kii ana i te huringa o te whakawhitinga, ko te mea tino pai te whakaputa me te maamaa hua.
Ko nga kaiwhakatakoto tank whakaohooho tonu (CSTR) e whakamahia whānuitia ana i roto i nga mahi ahumahi mo te whakakotahi tonu me te pupuri i nga tikanga tauhohenga.Ko tetahi o nga tono tino noa o te CSTRes kei roto i nga mahinga whakatipu, kei hea nga miihini, nga whaanui ranei e hiahia ana ki te taiao kia mau tonu ai te mahi whakapaipai.Ko te whakahoahoa tonu ka whakapumau i nga matūkai, o te hāora, me etahi atu tauhohenga ka tohatohahia puta noa i te punaha, te aukati i te whakahekenga o te rohe ki te aukati i te tipu microbial ranei.He tino whai hua te Cstrs ki te whakahaere i nga rere nunui nui, penei i nga tauhohenga polymerizatization, e tika ana kia tutuki i te waikawa riterite kia rite ki te waihanga taumaha.Ko to raatau kaha ki te whakarato i te mana pāmahana tino nui i roto i a raatau taputapu ahumahi, mo nga tauhohenga i roto i a raatau e hiahia ana kia pai te heke o te oma.Ko nga tikanga honohono i roto i te CSTR he mea pai mo nga tauhohenga wai-wa, ina he mea nui te kounga me te tukatuka hua.Ko nga umanga e whakawhirinaki ana ki nga CSTRS, ko nga matū pai, te maimoatanga kai, me te kai me te inu, ka pa ki nga tikanga tauhohenga me te ture.
Ko nga kaikopere rere whakauru (PFR), ko te mea pai mo nga tukanga e hiahia ana ki nga reiti faafeati nui, te mana whakahaere mo nga kinetics tauhohenga, me te iti o te whakauru.Ko ta ratau hoahoa e pai ana ki a raatau mo nga tauhohenga hau-ki te whakamahi i te haukini, me te konupora, me te hauhautanga e pai ana ki te whakaputa hua.Ka whai waahi ano te PFRS ki te mokete catalytic, he mahinga matua i roto i te umanga hinu ka whakamahia ki te wawahi i nga ngota hydrocorb nui ki nga taonga nui ake i te hinu me te diesel me te Diesel.Ko te tauira o te Univirectional e tautoko ana i te kaha o te urupare ma te whakarite ko nga kaiwhakaputa e pa ana ki te whakarereke i te panoni whakaatu, te whakaiti i nga tauhohenga taha me te whakapai ake i nga tauhohenga taha.Ka taea te hanga i nga PFRS hei kaiwhakatika-moenga-moenga, kei reira nga miihini whakaranu, ki te whakawhiti ranei i te papatipu me te pai ki te tauhohenga me te tauhonga heterogeneous.Ko tenei whakarerekētanga e taea ai te whakamahi i nga PFRS i roto i te maha o nga tukanga whakaputa matū, tae atu ki nga tauhohenga o te hāora, te whakahiato o te polymer, me te hanga matū.Ko te kaha ki te whakatutuki i te kaha hurihuri nui me te mana o te kinetic e hanga ana i nga tono ahumahi nui-nui, ina koa i roto i te hinu, me nga waahanga matū.
Ko te whakahekenga o te reanga rere whakauru (PFR) he mea nui kia maarama me pehea te whakahaere a nga PFRS ki te whakahaere i nga kinetics matū, te pāmahana.Ka whakamarama tenei Breakdown i nga tikanga taketake me nga taahiraa pāngarau i uru ki te whakatakoto i te whakaputanga PFR, te maarama ki te whakatutuki i nga reiti hurihuri me te mohio.
Ko te PFR e whakahaere ana i runga i te parau tumu o te rere haere tonu me te whakakotahi.Ko nga kaiwhakatika e uru ana ki tetahi pito ka neke i roto i te kaiwhakaputa i roto i te miihini-rite, he tere haere tonu ki te putanga me te kore e whakarakei.Ko tenei tauira rere he rite ki te piston e neke ana i te ara tere, kei reira nga wai o te waipuke e mau tonu ana i tana tuakiri matū me te ahunga o te tere.Ko tenei kaupapa whakakotahi e whakarite ana ko nga waahanga o te taucacant e kaha ana ki te waa noho, kia mau tonu ai nga ahuatanga o te tauhohenga.He pai tenei riterite mo te whakahaere o te kinetic, te whai hua i nga pfrs mo nga tauhohenga matatini e hiahia ana kia tika te waa me te whakahaere aro.
Ko te mahinga o te PFR e whakawhirinaki ana ki te tono papatipu me te toenga wera i roto i te rōrahi rereke o te kaiwhakanao.Ma te tātari i tetahi waahanga iti o te wai i te wa e neke ana i te tauhohe, ka taea te whakatauira i nga kinetics matū me te tohatoha hua hua.I roto i te PFR pai, ko te kore o te whakaraeraetanga o muri me te whakamarumaru e mau tonu ana i ia waahanga rerenga, ka tiakina e ia tana hitori matū.Ko tenei tauira rerenga o te unindirectional ka hangai i te maaramatanga i te roa o te kaiwhakawa, ka heke te aro o te urupare i te wa e piki haere ana te kaha o te hua.Ko tenei tino pai e pana ana i te urupare matū i mua.Ka whakamahia te toenga papatipu hei whai i te kohi o nga hua me te hanganga o nga hua, i te wa e whakahekehia ana te kaute mo nga huringa pāmahana e pa ana ki nga reiti.Mo te ngawari, ko te whakaraeraetanga i te nuinga o te wa e pa ana ki nga tikanga Isothermal, e aro ana ki te toenga papatipu me nga kinetics tauhohenga kaore he uaua o nga rereketanga o te pāmahana.
Ko te whārite PFR i ahu mai i te toenga papatipu i runga i te rōrahi rereke o te kaiwhakanao.I raro i nga tikanga o te taha o te paruparu, ko te huringa o te kukume urupare i te taha o te roa o te kaiwhakawao he taurite te reanga o te tauhohenga.Ko te ahua rereke o te whārite toenga toenga:

Kei hea:
𝐶𝑖 = Kukume o te tauhohe 𝑖 i te tūnga 𝑥
𝑥 = Tūranga i te taha o te reanga
𝑟 = Reanga tere, e whakawhirinaki ana ki nga kukume urupare me nga kinetics
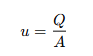
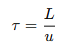
𝑢 = Tere tere
E whakaatu ana tenei whārite ko te huringa o te kukume urupare e pa ana ki te reanga o te tauhohenga me te tere o te wai e neke ana i roto i te kaiwhakanao.He whakaaturanga tino rite ki nga kinetics tauhohenga i roto i te PFR.Hei whakaoti i tenei whārite rereketanga, kua whakaritea nga tikanga a te rohe ki te uru o te kaiwhakanao, kei reira te kukume tuatahi o ia tauwhitinga:

Ka whakahaerehia te whakauru mai i te urunga (𝑥 = 0) ki te putanga (𝑥 = 𝐿 = 𝐿), ko te roa o te kaiwhakatakoto.Ko te whakatau i te whārite puta noa i tenei roa ka whakawhiwhia te kōtaha aro nui ki ia tauhohe i te wa e neke ana i roto i te kaiwhakanao.Ko tenei kōtaha kukume e taea ai te matapae o te whakaurunga me te whakaputa i nga mahi hoahoa, hei awhina i nga hua o te hua e hiahiatia ana me te mohio.

Ma te pupuri tonu i te tere, ka whakarite te kaiwhakatakoto i nga waahanga waikawa te waa noho mo te whakatutuki i nga ahuatanga o te tauhohenga.Ko te tikanga o te huarahi noho (τ), he hoahoa whakahirahira me te taatai mahi, ka kiia ko:

Ko tenei uara e tohu ana i te wa toharite ka whakapau te tauhohe i roto i te kaiwhakanao.He mea pai mo te whakaputa i nga mahi a te kaiwhakaari, ina koa mo nga urupare tere, ki te hunga whai kiko ranei ki te waa whakaatu.Ma te whakatikatika i a koe, ka taea e koe te arotau i nga reiti faafari me nga hua hua.
Ko te tauhohenga kaore e taea te whakamahi i te reanga rere whakauru (PFR) tetahi o nga tauhohe kotahi ki te hua kaore he tauhohenga whakamuri.He mea nui tenei momo tauhohenga i roto i te miihini matū, i te mea e whakatauira ana i te maha o nga huringa me nga tikanga isomerization.I roto i tenei tauira, kua hurihia te urupare ki te hua 𝐵 e whai ana i nga kinetics tuatahi-ota.Ma tenei waahanga e whakamarama me pehea te whakarei ake i te hoahoa a te PFR ki te whaihua me te mohiotanga.
I roto i te PFR, ko te tauhohenga he tohu mo:
𝐴 → 𝐵 𝐵
E tohu ana tenei i te whakahoki i te hua 𝐵 e rite ana ki nga kinetics tuatahi-a-tuatahi, ko te tikanga o te reanga tauhohenga he rite ki te kukume o te 𝐴.Ko tenei tauira ngawari e whakamahia whānuitia ana i nga mahi matū matū ki te whakarite kia oti te hurihanga o te 𝐴 ki te 𝐵 i raro i nga tikanga tika.Ko te rere tonu o te PFR, ko te rere unirectional me te kore-te whakaranu e whakarato ana i te taiao pai mo nga tauhohenga tuatahi.Ko ia momo o te tauhohe ka neke haere i te tauhohenga i te tere tonu, te pupuri i tana tuakiri matū me te wheako i nga ahuatanga o te tauhohenga.Ko tenei riterite e tautoko ana i te kaha o te hurihanga nui me te tino whakahaere i nga hua o te hua.Ko te whakatakotoranga whakahaere mo te urupare tuatahi-kino i roto i te PFR i ahu mai i te toenga papatipu i runga i te waahanga reaorea rereke.Kei te whakapuakihia:

Kei hea:
𝐶𝐴 = Kukume o te tauhohe 𝐴 i te tūnga 𝑥
𝑥 = Tūranga i te taha o te reanga
𝑘 = Rehenga tauhohenga tonu, e tohu ana i te tere o te tauhohenga
𝑢 = Tere tere haere i roto i te kaiwhakaputa
Ko tenei whārite e whakaatu ana ko te tere o te huringa o te huringa o te kaiwhakawao i te taha o te kaiwhakanao, kei te kinetics tuatahi, kei hea te tohu kino e whakaatu ana i te kai o te 𝐴.Ko te kore o te whakahoki mai i te PFR e whakarite ana kia rite te mahi a ia waahanga rereke, he ngawari te whakatauira mo te tauhohenga.Ki te rapu i te kōtaha arotahi o 𝐴 i te taha o te reanga, ka whakauruhia te whārite rerekē me te rohe tuatahi e mohiotia ana ko te kukume tuatahi i te kokoru:

Ko te otinga ki te whārite rerekee ko:

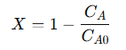
E whakaahua ana tenei whārite e pehea ana te kaha o te kukume i te mea ka neke haere i roto i te kaiwhakanao.Ko te reanga o tenei pirau totoka e whakawhirinaki ana ki te reiti o te urupare (𝑘) me te tere o te wai (𝑢).Ko tenei hononga e whakaatu ana me pehea te whakautu i nga tohu hoahoa penei i te roa (𝐿), te reiti rere, me te urupare tere, pa ana ki te kōtaha aro.Hei tauira, ko te whakapiki ake i te roa o te reanga, te whakaheke ranei i te reanga rere e whakarato ana i te nui ake o te noho, ka taea te huri atu ki te 𝐵.Heoi, ko te reeti rere teitei ka whakaiti i te waa whakapā, ka puta mai i te hurihanga o raro.Ko te tino kaha o te hurihanga (𝑋) o te reacast 𝐴 e tautuhia ana ko te hautau o te 𝐴 e pa ana ki te roa o te kaiwhakawao:

Kei hea:
𝐿 = Te roa o te kaiwhakanao
𝑋 = Te kaha o te hurihanga o 𝐴
Ko tenei whārite e whakaatu ana ko te whakapiki ake i te roa o te reanga (𝐿) te reiti tonu ranei (𝑘) te whakapai ake i te pai o te hurihanga, ahakoa he tere te pikinga (𝑢) ka whakaitihia.Ko tenei tātai e whakaatu ana i te painga o te Taakapa Hōmonga Hono: Ko te wa noho rite te wheako i nga ahuatanga o te tauhohenga katoa, e arahi ana ki nga reiti hurihuri rite.
Ko te tauhohenga tuarua kaore e taea te whakamahi i roto i te reanga rere whakauru (PFR) he rehenga tauhohenga ka whakawhirinaki ki te tapawha o te kukume o te reanga.Ko tenei momo tauhohenga he rite tonu ki nga tukanga penei i te polymerization me te whakakore.Te maarama ki te whakatutuki i nga PFRS ki enei tauhohe ka awhina i nga kaiwhakaputa whaihua me nga reiti faafariu tino pai me te koretake.I roto i te PFR, he reanga tuarua-raupapa whakaharahara e rua nga ngota o te tauhohe te whakakotahi ki te hanga hua 𝐵, hei tohu mo:
2a → b
Kaore e taea te whakakorekoretanga o tenei urupare, te tikanga o te wa kua hurihia ki roto 𝐵, kaore e hoki.Ko te tauira tonu o te PFR e kaha ake ana i tenei hurihanga ma te pupuri i te waa tere me te waa noho puta noa i te kaiwhakanao.Ma tenei hoahoa e whakarite kia pai ake nga hononga o ia tauhohenga ki nga ahuatanga o te tauhohenga, te whakanui i te kaha hurihuri.Ko te whakatakotoranga whakahaere mo tenei tauhohenga ka ahu mai i te toenga papatipu i runga i te waahanga iti o te reactor, e kii ana kaore i te whakaranu, te reihi ranei te whakakakahu:

Kei hea:
𝐶𝐴 = Kukume o te tauhohe 𝐴 i te tūnga 𝑥
𝑥 = Tūranga i te taha o te reanga
𝑘 = Reiti tonu, e tohu ana i te tere o te tauhohenga
𝑢 = Tere tere
Ko te mea e 2 nga kaute mo te stoichiometry, kei reira nga kiore e rua o te 𝐴 ka pau i te kotahi kamiriona o 𝐵.
Ko tenei whārite e whakaatu ana ko te tere o te huringa o te huringa o te rereketanga o te kaupapa o tana kukume o tana kukume o naianei, he taarua o nga kineticto-a-rua.Ka arahi tenei ki te heke tere i roto i te 𝐴 i te mea ka haere whakamua te urupare, ina koa i nga tino kaha.Ki te kitea te kōtaha arotahi o 𝐴 i te taha o te reanga, kua whakauruhia te whārite ahuwhenua mai i te kokoru, kei reira te kukume tuatahi ko te 𝐶𝐴0, ki tetahi waahanga 𝑥 i te taha o te kaiwhakaari:

Ko tenei otinga e whakaatu ana ko te kukume i te hyperbolically, kaore i rite ki te pirau kua kitea i roto i nga tauhohenga tuatahi.Ko te reanga o tenei heke ka whakawhirinaki ki te reiti o te tauhohenga (𝑘), te roa reactor (𝑥), me te tere o te wai (𝑢).Ko tenei whanaungatanga e whakaatu ana i te paanga o nga tohu whakahaere i runga i te kukume urupare me te kaha o te hurihanga.Hei tauira:
• Te whakanui ake i te roa o te tauhohe (𝑥) me te reiti tonu (𝑘) te whakatairanga ake i te hurihanga ma te whakarato i etahi atu waa, te tere ranei o te tauhohenga.
• Te tere o te rewharewha teitei (𝑢) ka whakaiti i te waa noho, ka arahi ki te hurihanga o raro.
Ka awhina tenei tauira ki te matapae me pehea te whakatikatika i te hoahoa o te kaiwhakamaori me nga ahuatanga whakahaere i te hua hua me te kore korero.
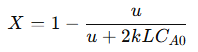
Ko te kaha o te hurihanga o te hurihanga (𝑋) o te whakahoutanga 𝐴 ka kiia ko te hautanga o te 𝐴 i hurihia hei hua 𝐵 i te taha o te reanga:

Ko te whakakapi i te kōtaha arotahi whakakotahi:

Kei hea:
𝐿 = Te roa o te kaiwhakanao
𝐶𝐴0 = Te kukū tuatahi o 𝐴
𝑋 = Te kaha o te hurihanga o 𝐴
Ko tenei whārite e whakaatu ana ko te kaha o te hurihanga ka:
• Te roa o te tauhohenga roa (𝐿), ka piki ake te wa noho.
• Ko te kukume tuatahi (𝐶𝐴0), e whakanui ana i te reanga tauhohenga.
• He nui ake te utu (𝑘), e tere ana te tauhohenga.
Ko te tikanga, ka piki ake te tere o te rewharewha (𝑢) te whakaheke i te hurihanga ma te whakaiti i nga taunekeneke ka whakapau ki te kaiwhakanao.Ko enei tirohanga ka taea te whakapai i nga mahi a te kaiwhakaari ma te whakatika i nga reiti rere, te roa reactor, me te whakahaere i nga pāmahana (e pa ana ki te pāmahana (e pa ana ki te pāmahana (e pa ana ki te pāmahana (e pa ana ki te pāmahana (e pa ana ki te pāmahana (e pa ana ki te pāmahana (e pa ana ki te pāmahana (e pa ana ki te pāmahana (e pa ana ki te pāmahana (e pa ana ki te pāmahana (e pa ana ki te pāmahana (e pa ana ki te pāmahana (e pa ana ki te pāmahana (e pa ana ki te pāmahana (e pa ana ki te pāmahana (e pa ana ki te pāmahana (e pa ana ki te pāmahana (e pa ana ki te pāmahana (e pa ana ki te pāmahana (e pa ana ki te pāmahana (e pa ana ki te pāmahana (e pa ana ki te pāmahana (e pa ana ki te pāmahana (e pa ana ki te pāmahana (e pa ana ki te pāmahana (e pā ana ki te pāmahana (e pā ana ki te pāmahana (e pā ana ki te pāmahana (e pā ana ki te pāmahana
He pai te maarama ki te whanonga tuarua-tauwehe mo te hoahoa i nga kaiwhakaora rere whakauru (PFRS) hei whakanui i te hua hua i te wa e whakaitihia ana te ururua.Mai i te mea ka whakawhirinaki nga reanga urupare i nga kineticto o-tuarua i runga i te kukume o nga tauhohenga e rua, ka taea e te kaiwhakanao whakatika te whai huakore o te kaupapa hurihuri.Ko tetahi huringa whakaaweihi nui e pa ana ki te roa o te tau, ka roa te waa noho o te PFR, ka taea e te tauhohenga te whakaoti i mua i te putanga o te punaha.Waihoki, ko te whakaheke i te reiti o te rere ka piki haere te wa noho, ka whai waahi ki te taunekeneke me te hanga i nga hua e hiahiatia ana.Ko tetahi tohu he pāmahana te pāmahana, e pa ana ki te reiti o te tauhohenga (𝑘).Te whakapiki ake i te pāmahana ka piki haere te reiti, na reira ka tere te tere o te tauhohenga me te whakapai ake i te pai.Heoi, me ata whakarite koe i te whakatikatika pāmahana kia kore ai e tau nga tauhohenga kaore e hiahiatia ana, he ngoikore ranei o te waikawa.Ko enei tikanga e tika ana mo te whakahaere tika mo nga ahuatanga o te tauhohenga, te whakarei i nga umanga ki te pai o nga mahi PFR mo nga whaainga whakaputa motuhake.
Ko te kaha ki te whakahaere i nga kinetics tuarua-a-tau-rua me te tino whai hua i roto i nga ahumahi he pai te kounga o te hua, te rite tonu, me te kaha.I roto i nga tukanga polymerizatization, hei tauira, ko te pupuri tonu i nga kukume monomer tino pai puta noa i te tauhotera e whakarite ana i nga polymers kia tutuki nga tohatoha taumaha o te taumaha me nga taonga tinana.Ahakoa he iti noa nga rereketanga o te kukume, nga tikanga urupare ranei ka arahi ki nga koretake i roto i te hanganga polymer, te pa ki te kaha, te ngawari, te roa ranei.Waihoki, i roto i te matū pai me te rongoā rongoā, te tauhohenga tauhohenga me te ma ki te whakarite kia pai te whai hua me te haumaru o te hua.
He pai te tātari i te toenga papatipu i roto i te papa rerenga whakauru (PFR) i raro i nga tikanga o te whenua, he pai ki te maarama me te arotau i te mahinga puta noa i nga momo matū.I roto i te PFR, ko nga kaiwhakatika e rere haere ana, e rite ana ki te uru ki te putanga ki te kore-whakaranu, whakarakei ranei.Ko tenei tauira rerenga riterite ka taea te mana whakahaere mo nga kukume urupare me nga reiti tauhohenga, ka tino whai hua te PFR mo nga tauhohenga matū matatini.
I roto i te kaihoroi rere (PFR), ka mau tonu te nekehanga o nga kaiwhakaari, me whakarite e ia nga ahuatanga o te wai.Kaore i rite ki nga kaiwhakatikatika e whakatairanga ana i te whakaranu, penei i nga kaiwhakaora-tank e mau ana (Cstrs), e whakahaerehia ana e te PFR nga waahanga o te waiu, te aukati i nga waahanga o muri.Ko te tikanga o tenei ahuatanga ko nga kukume urupare me te uruparenga e rereke ana i te roa o te kaiwhakanao, kaua ki te neke atu i te whakakotahitanga o te tipu.Na te mea ko tenei nekehanga-rite, ka pa te tauhohenga i raro i nga ahuatanga kua tautuhia i nga kaupapa katoa o te kaiwhakanao, ka taea te whakahaere i te whakarereke me te matapae mai i nga tauhohe.Ko te kukume huanga me te pāmahana pāmahana i te taha o te roa o te kaiwhakaari e whai waahi ana ki te whakahaere i nga kinetics tauhohenga me te kaha o te mahi.
Ko te ahua o te rere o te rere i roto i te PFR e tuku ana i nga painga motuhake, otira mo nga urupare e tino aro ana ki te aro turorotanga, te pāmahana ranei.Ma te whakakore i te whakaranu, ka whakarite te wa o te whare noho mo ia reanga mo ia tauhohe, kia pai ake ai te matapae o te ahunga whakamua me te hanganga hua.He whai hua tenei waahanga ki te arotau i te hua huakore, i te mea ka paingia e etahi tauhohenga motuhake mo te roa o te reanga.Ko te kore o te whakaranu o roto, ka ngawari te whakarite i nga tauira pangarau, kia pai ake ai te whakawhanake i nga tauira o nga kakahu me nga kaiwhakatika hoahoa mo te tino pai.Ko tenei huarahi e rere ana ki te miihini hiko kaore noa e whakarei ake i nga mahi engari ka whakaiti hoki i te uaua e pa ana ki te panui mo nga tono ahumahi.
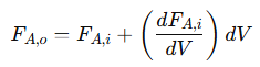
Ko te whakaurunga toenga papatipu mo te PFR i ahu mai i te tātari i tetahi rōrahi rereke (𝑑𝑉) o te kaiwhakanao.Ko tenei huarahi e whakaaro ana ki te rere o te kaitautoko 𝐴 ki waho o tenei rōrahi, me te reiti kei te tauhohe.I raro i nga tikanga pumau, kaore he huihuinga o te 𝐴 i roto i te 𝑑𝑉, ko te tikanga ka rite te reanga whakaheke i te reanga o waho mo te tauhohenga.Ko te whārite toenga toenga taurite:

Kei hea:
𝐹𝐴, 𝑖 = Molar rere rere o te tauhohe te whakauru i te rōrahi rereke
𝐹𝐴, 𝑜 = Molar rere rere o 𝐴 ka mahue i te rōrahi rereke
𝑟'𝐴 = Whakatauhia te tauhohenga mo te rōrahi waahanga mo 𝐴
𝑑𝑉 = Waahanga rerekee
Ko tenei whakaurunga e whakaatu ana ko te whakaheke i te tere o te rere o te 𝐴 e tika ana ki te kai i roto i te rōrahi 𝑑𝑉.I te mea kaore ano he whakaranu o muri, ka mau tonu ia mo te whakapiri i tona kukume i te mea e neke whakamua ana, kia mau tonu te tauira rerenga.
Ki te hono i te reiti rere o te papaa ki te reiti rere o te kokora, ka whakamahia te whārite tonu:

Ko te whakakapi i tenei ki te whārite toenga toenga homai:

E whakaatu ana tenei ko te huringa o te reiti rere o te hau o te 𝐴 he riterite tika ki te reanga tauhohenga.Ko te tohu kino e whakaatu ana i te kai 𝐴 i te mea kua hurihia hei whakamahi i nga hua.Ko te whanaungatanga nei e whakaatu ana me pehea te paanga o te urupare ki te kōtaha aro o 𝐴 i te taha o te reanga.Ko te whakauru i tenei whakaurunga rereke i te roa o te kaiwhakawao e whakarato ana i te whakaaturanga whanui mo te reanga tauhohenga o te 𝐴:

E whakaatu ana tenei ko te reanga o te tauhohenga he rite ki te huringa o te tere o te hau o te 𝐴 i te taha o te reanga.Ko te tohu kino e whakaatu ana i te whakaheke i roto i te whakaheke i te waa e pa ana ki te hanga hua.Ko tenei momo whakauru o te whārite toenga toenga e taea ai te tātai i te kōtaha arorangi o 𝐴 puta noa i te reactor, ka taea te matapae tika o nga hua hua me te kaha o te hurihanga.
Mo nga tauhohenga matatini, penei i te tauhohenga Bimolecular 𝐴 + 𝐵 →Mo ia momo, ko nga whārite rerekee:
• Mo te Whakahou 𝐴:

• Mo te Whakahou 𝐵:

• Mo te hua 𝐶:

• Mo te hua 𝐷:

Ko nga tohu kino e tohu ana i te kai o nga kaiwhakataetae, i te wa e tohu ana nga tohu o nga hua.Ko enei whārite e whakarato ana i te toenga papatipu katoa mo nga hononga tauhohenga matatini, ka taea e te whakatauira tika o nga kinetics tauhohenga me te tohatoha hua.
I roto i te kaihoroi rere whakauru (PFR), e kii ana kaore he rereketanga o te rerenga rerenga rere noa i te whakatauira pāngarau o te tauhohenga matū.He whai hua tenei whakapae mo nga tauhohenga hau-i raro i te pāmahana me te pehanga (hesothermal me te isobaric e mau tonu ana te mate o te wai.Ma te pupuri i te reiti rere tere puta noa i te kaiwhakawa, tatauranga mo nga kinetics tauhohenga, te ngawari o te hurihanga, me te tohatoha hua ka kaha ake, ka pono.
Ki te whakapae ko te reanga rere rere (𝑄) ka mau tonu i roto i te PFR te whakatikatika i te tātaritanga o te tauhohenga matū.Ko tenei rerenga rerenga tonu e whakarite ana ko te tere o te waiu he rite ki te roa o te kaiwhakawao, ka haere ki nga wa noho tonu mo nga huanga wai katoa.He pai te whakakotahi i tenei whakakotahitanga ki te pupuri i te tauira rere whakauru, kei reira nga waahanga o te wai ka ahu whakamua ano he piston, kaore he whakaranu-reihi ranei.
Ko tenei tauira rerenga noa e whakarite ana ko nga huringa o nga kukume urupare ka puta anake i roto i te ahunga axial anake, te nuinga o te taraiwa i te uruparenga matū.Ka tiakina ano hoki te tuakiri matū o ia waahanga rere, ka taea te whakahaere tika mo nga ahuatanga o te tauhohenga me nga kinetics.He painga tenei mo nga urupare e hiahia ana kia tika te wa noho me te mana pāmahana.I raro i te whakapae o nga rerenga raupaparorohiko, ko te rere rere i tetahi wa i roto i te kaiwhakawhiti kei te noho tonu mai i te kokoraho ki te putanga:
Q i = qo = q
Ko te tikanga o tenei ahuatanga pumau ko te tikanga o nga papa rerenga puta noa i te roa o te kaiwhakanao, te ngawari o te toenga toenga toenga.Ka taea e te tātaritanga te aro ki nga reiti rere o te kolar me nga huringa o nga tauhohenga me nga hua kaore i te whakaaro nui i te tere, i te rōrahi ranei.Ko te tere o te rere o te molar o te tauhohenga 𝐴 i tetahi tūranga 𝑥 i te taha o te kaiwhakanao:

Kei hea:
𝐹𝐴, 𝑖 = Molar rere rere o te te whakauru i te huānga rōrahi rerekē 𝑑𝑉
[A] i = Kukū o 𝐴 i te tūnga 𝑥
𝑄 = Reiti rere rere noa
Ka hono tenei whārite ki te tere o te rere o te tauhohenga 𝐴 ki tona kukume me te reiti rere rere.Na te mea he rite tonu, nga huringa i roto i te 𝐹𝐴, 𝑖 e pa ana ki nga huringa o te [𝐴] 𝐴.Ko te reanga o te tauhohenga mo te Whakatuturutanga 𝐴, i tohuhia e te 𝑟𝐴, e whakaahua ana i te reiti e pau ana i te roa o te kaiwhakaora.Ka tatauhia te whakamahi i te huringa rereke i te reiti rere o te molar:

Ko te tohu kino e whakaatu ana i te kai o te urupare 𝐴 i te mea kua hurihia hei hua.Ko tenei hononga e whakaatu ana ko te reanga tauhohenga he rite tonu te rite ki te maaramatanga o te urupare.Na te mea he rite tonu, ka huri noa te kukume i roto i te ahunga axial, me te whakarite kia pai te mate o te tauhohenga mai i te kiki ki te putanga.Ko tenei tauira rerenga rerekee e awhina ana ki te pupuri i nga ahuatanga o te tauhohenga rite, te whakaputa i nga hua kua kitea, me te kaha o te hurihanga.Ma te whakauru i tenei whakaurunga rereketanga i te roa o te kaiwhakawa, ka taea te tātai me pehea te huringa o te huringa o te whakauru ki te putanga ki te putanga:

Ma tenei whakaurutanga e whakaatu ana i te korero aro nui o te 𝐴 i te taha o te kaiwhakaari, e whakaatu ana he aha te nui o te tauhohenga ka pau te hua o te hua.E whakaatu ana hoki i te paanga o nga tohu hoahoa penei i te roa, te reanga rere, me te tere o te tauhohenga me te tohatoha hua me te tohatoha hua.Ko te pupuri i nga tauira pāngarau he ngawari ake te tikanga o nga taurangi, te whakarite kia tere ake, kia tere ake hoki nga tatauranga.He tika nga matapae whakaohooho awhina i nga kaiwhakatikatika mo te tino kaha me te whakaputa korero, me whakarite te mahinga tino pai.Wa noho tonu me nga reiti rere ka taea te whakahaere tika, te arahi ki te kounga hua pono.Te nuinga, e kii ana kaore he rereketanga o te rerenga rere i roto i nga PFRS e ngawari ana ki te whakatauira i te matū i te wa e mau tonu ana te tika, he taputapu nui mo te hoahoa me te mahi a te tauhohenga me te mahi.
Ko nga kaiwhakatika rere whakauru (PFR) e whakamahia whānuitia ana i roto i te tukatuka matū na te hoahoa ahurei o te hoahoatanga, e whakarite ana i te nekehanga o nga tauhohenga.Ma tenei hoahoa e tuku te mana whakahaere mo nga kinetictics me nga wa noho, ka tino pai te whakahaere i nga PFR mo te maha o nga mahi matū.Heoi, kei a raatau ano nga tikanga mo te whakaarohia i runga i te tono.Ma tenei waahanga e tirotiro nga painga me nga ngoikoretanga o te PFRS.
E mohiotia ana nga kaiwhakanao rere (PFR) mo o raatau kaha o te hurihanga, e puta mai ana i o raatau momo rere rereke.Kaore i rite ki etahi atu momo reactor, ka whakarite a PFRS kia neke haere nga tauhohe i roto i te huarahi kotahi kaore he whakaranu.Koinei te tikanga ka uru mai te huanga o te wai ki te kaiwhakaputa, kei te haere tonu te rere me te kore e whakaranu ki etahi atu waahanga o te rere.Na te mea ko tenei nekehanga whakahaere, ko te hanganga matū i nga wa katoa i roto i te kaiwhakanao e noho ke ana, e kitea ana hoki.Ko tetahi painga nui o tenei rerenga pumau ko te mea ka whakaitihia te tohatoha wa noho, te tikanga kia rite te katoa o nga matūriki ki roto i te kaiwhakanao.I te mutunga, ka puta te tauhohenga puta noa i te roa o te reanga, ko te whakapai ake i te kaha me te hanga PFR mo nga tukanga e tika ana kia whakahaere i nga ahuatanga o te tauhohenga.
Ko tetahi atu take mo te kaha o te hurihanga tino o te PFRS ko to raatau kaha ki te pupuri i te tino kaha o te kukume i puta noa i te tauhohe.Mai i te mea ka pau tonu nga tauhohenga i a raatau e ahu whakamua ana i te ara, ka heke haere te kukume i te huarahi rere, ka taea te awhina i nga tauhohenga taraiwa kia pai ake ai te awhina.Ma tenei ka tino kaha ake te PFR i te whakaohooho i nga kaiwhakatika i nga kaitakaro tank whakaohooho, kei reira nga whakaranu o te whakakotahitanga ki te kukume i te kaha o te aro.Mo nga urupare e tino aro nui ana ki te whakarereke i nga huringa kukume, me whai waahi tonu, ka tukuna he painga o te PFRS.Ma te whakarite i tetahi taiao tauhohenga taera, ka awhina ratou ki te whakatika i nga reiti urupare, te whakaiti i nga hua e hiahiatia ana, me te whakanui i te hua hua.
Ko te rerenga o te hanganga i roto i te whakauru i nga kaihono rere (PFRS) e whakarite ana ko nga tauhohenga ka kitea i nga wa katoa o te tauhohenga.Ko tenei tino pumau me te whakakotahi i te kaha ki te whakaiti i te hanganga o nga hua e hiahiatia ana, ka taea e te kaha te whai hua o te tauhohenga.Ma te whakaiti i enei tauhohenga taha kaore e pai ana, ka awhina nga PFRS ki te whakapai ake i te katoa o te uruparenga, ka whai hua ki a raatau mo nga tukanga matū e tika ana kia nui.He mea nui tenei ki nga umanga kei reira nga rereketanga iti i roto i te whakakotahitanga matū ka taea e nga rereketanga o nga mahi hua, penei i te hangahanga o nga matū momona me nga hua rongoā.Na te mea kei ia momo o te tauhohe te tere me te wheako i nga ahuatanga o te tauhohenga tauhohenga, ka kitea te tauhohenga i roto i te mana whakahaere me te matatau.Ko tenei taumata o te riterite e whakarite ana ko te hurihanga matū e hiahiatia ana i te wa e whakaarohia ana, ka hua ake te hua o te hua whaainga i te wa e whakaitihia ana te hiahia mo nga waahanga purea.
Ko te kaha o te PFR ki te whakarato i te taiao tauhohenga taera he whai wāhi ki te whakarei ake i nga hua me te pai o te urupare.Mai i nga waahanga katoa o te awa e whai ake nei e whai ana i te huarahi kotahi me te aukati i nga ahuatanga o te tauhohenga, te hua whakamutunga e whakaatu ana i nga tohu pono me te tukurua.He painga tenei mo nga tukanga e mau ana i te mana o te kounga kairangi, ahakoa he iti noa nga rereketanga o te pāmahana, te pehanga, te urupare urupare ranei i whakarereke i te mutunga whakamutunga.Ko te tohu nui o te maarama i roto i nga PFR e pai ana ki nga tauhohenga e whai kiko ana ki nga momo takawaenga, i te wa e tika ana te whakahaere i nga kinetics tauhohenga.Hei taapiri, na te mea e whakahaere ana nga PFR me te rere haere tonu, ka taea e ratou te taapiri mo nga tono ahumahi me te kore e whai kiko.Ko tenei whakahoutanga, he whakakotahi me o raatau kaha ki te whakarei ake i te huringa urupare, he pai te whiriwhiri i nga tikanga mo te maha o nga tukanga matū matū, me te whakarite i te maha o nga tono.
Ko nga kaiwhakaora rere whakauru (PFR) whakahaere i te haere tonu, ko te tikanga kaore e tika kia mutu, ka whakahou tonu.Ko tenei mahi tonu ka whakaiti i te heke, ka waiho mo nga reiti whakaputa teitei me te pai ake o te pai ki te tukatuka matū.Mai i te mea kaore e hiahiatia e nga PFrs te waikawa miihini, ka iti ake te kaha o te kaha ki etahi atu o nga momo reactor e whakawhirinaki ana ki nga waahanga neke.Ko te kohi kaha o te kaha ki te whakamaoritanga ki te whakaheke i nga utu whakahaere, te whakarite i nga pfrs he whiringa utu mo te whakaputa nui-rahi.Ko te kaha ki te pupuri i te mahi pumau tonu e whakarite ana i nga tikanga o te matū, ka whai waahi atu ki te tukatuka i te pumau.Ko te kore o te neke neke ka whakaiti i nga hiahia tiaki, te whakaiti i nga pakaru ohorere me te whakarei ake i te pono.Na enei painga, ka whakamahia whānuitia nga pfrs ki nga umanga e tika ana, te tukatuka matū nui i te wa e pupuri ana i te kaha ki te whakamahi me nga utu whakahaere kia iti ake.
Ko tetahi atu painga nui o te PFRS ko to raatau ngawari ki te hopu mai i nga whakamatautau taiwhanga ki te mahi umanga katoa.I te mea ka noho tonu te ahua o te tauhohenga i te roa o te kaiwhakawa, ka piki haere te kaha whakaputa ma te neke noa i te roa o te kaiwhakanao, te whakamahi ranei i nga ngongo whakarara.Ma tenei mahi e whakarite nga kaihanga matū ka whakapiki i a raatau mahi me te kore whakarereke nui ki te hoahoa reactor.Ko te tauira rere e tika ana i roto i te PFR ka ngawari ake te whakahaere i nga taurangi tauhohenga, te whakarite i te kounga o te hua puta noa i nga pauna whakaputa rereke.Na te mea ka neke ia waahanga o nga kaiwhakataetae i roto i te kaiwhakanaoutū me te kore-whakaranu, ka mau tonu te tukanga uruparetanga.Ko tenei waahanga e tuhi ana i te arotautanga me te pai kia pai ake te whakahaere i te kaha o te urupare.I te mutunga, ko nga umanga e hiahia ana kia whakahaere tika mo nga tauhohenga matū, he maha nga wa e whiriwhiri ana i nga PFR mo to raatau kaha ki te pupuri tonu me te pono ki nga pauna iti me te rahi.
Ko te hoahoa o te mono te awhina i te whakawhiti i te wera me te nui o te tauhohenga, ina koa ko nga tukanga e tukuna ana, e kaha ana ranei te wera.Na te mea kaore he whakaranu o muri, ka horapa te wera ki roto i te kaiwhakaari, te aukati i nga waahi e tino wera ana, he makariri rawa ranei.Ko tenei tohatoha wera e mau tonu ana i nga reiti tauhohenga ka mau tonu te kounga o te hua.Mena he koretake te wera, ka taea e te raru te raru o te puhoi i nga hua o te waa e hiahiatia ana ranei.Ma te pupuri i te pāmahana e mau ana, ka pai ake te hoahoa o te mononi ki te haumaru, te whakaiti i te tupono o te kino ki te whakaora i nga tauhohe.I te mea ka noho tonu te tauhohenga, ka rere pai ake, ka whai kiko, ka arahi ki nga hua pai ake.Ko tenei hoahoa e whakarite ana kia whai kiko te tauhohenga me te matapae, ka pai ake te pai me te pupuri i te hua.I te neke o nga tauhohe i roto i te kaiwhakaputa, ka haere katoa ratau ki nga ahuatanga kaore e uru ki etahi atu waahanga.Ma tenei ka pai ake te whakahaere mo te tukanga me te whakarite kia tupu te uruparenga e tika ana kia rite.Na tenei, he iti ake te ahua o nga hua huanga e hiahiatia ana, me te nui ake o te hua e hiahiatia ana.Ko te kaha o te hoahoa mo te whakauru ki te whakawhiti i te wera, kia mau tonu ai nga tauhohenga ki te whakahaere i nga mahi ahumahi he mea nui te kounga me te whai huatanga.
He tino whai hua nga kaiwhakaora rere (PFRS) na te mea ka taea e raatau te whakahaere i nga momo momo rereke o te tauhohenga matū.He pai ta ratou mahi mo nga tauhohenga tere, he tauhohe kore, me nga urupare hau-hau na te mea ka tere haere nga tauhohe i roto i te kaiwhakaari.He pai hoki te PFRS mo nga urupare e whakamahi ana i nga kaihokohoko totoka, i te mea ka rere te rere o nga kaiwhakatikatika katoa ki te kaata.Ka awhina tenei i nga urupare matū ka tino pai, ka nui ake nga hua.Na enei painga, ka whakamahia whānuitia nga pfrs ki nga umanga penei i te hinu me nga rongoā, i te mea e tika ana te whakahaere mo nga hua nui.Ko te kaha ki te pupuri i nga tauhohenga ka mau me te whai hua hei taputapu nui mo te maha o nga mahi matū.He tino awhina ano hoki nga PFRs ki te hanga Polymers na te mea ka mau tonu nga kukume mo Monomer i roto i te tauhohenga.He mea nui tenei mo te whakaputa i nga polymer me nga waahi whakakotahi, penei i te kaha me te pumau.Ko te rerenga maeneene i roto i te PFR ka whakaiti i nga rereketanga o te kukume me te waa tauhohenga, te arahi ki te hua whakamutunga nui ake.Mai i te mea ka whakahaere tonu nga PFT, ka taea hoki e ratou te penapena i te waa me te whakapai ake i te maatauranga ki te whakataurite ki nga kaihora i nga puranga.Ko te kaha ki te hapai i nga hononga rereke me te tika me te pono te whakanui i a raatau i roto i nga umanga maha.Ahakoa i whakamahia mo te catalysis, te urupare hau-hau, te whakaputa polymer ranei, ka tukuna e PFRS te huarahi e tika ana hei whakahaere i nga tauhohenga matū me te pupuri i te kounga hua.
Ko nga kaiwhakaora rere whakauru (PFR) e pai ana mo nga tauhohenga matū e neke haere ana i roto i tetahi huarahi me te kore e tika kia huri ke ranei.He tino whai hua ratou mo nga tauhohenga kore e taea, ka huri nga kaiwhakatakoto hua ki te kore hoki e hoki whakamuri.Mai i te mea he rere tonu te PFRS, ka ahu whakamua nga kaiwhakaari me te kore e uru ki nga hua.Ko tenei tatūnga kaore i te pai mo nga urupare me tae ki te taapiri na te mea kaore i te whakaranu te aukati i te tauhohenga ki te whakatika i te huarahi.I roto i enei keehi, kaore pea te PFR e tuku i te tauhohenga kia tae ki tana tino kaha, kia iti ake ai te whai hua mo etahi tukanga matū.Ko etahi o nga tauhohenga me nui ake te waa me te whakaranu ki te tiki i nga hua pai rawa atu, engari kaore i te waatea nga PFRS.Na tenei, kaore pea etahi urupare e tino whakaoti, hei arahi i te pai ki te pai.Mo nga tauhohenga e hiahia ana kia pai ake te whakaranu me te roa o nga wa urupare, he reactor whakaohooho tonu tonu (CSTR) tetahi atu momo o te reactor ranei ka pai ake te mahi.Ka whakaohohia e Cstrs nga tuhinga, kia pai ai te whakakotahi me te tuku i te tauhohenga ki te neke i nga waahanga e rua mehemea e hiahiatia ana.Ma tenei ka whai hua ratou mo nga tauhohenga e tika ana kia tiakina kia pai ai te whakaputa pai.Ahakoa he pai nga pfrs mo etahi tauhohenga, kaore pea pea ko te whiriwhiri pai i te wa e hiahia ana te tauhohenga ki te pauna, ki te hiahia ranei ki te whakaranu tonu.Ko te whiriwhiri i te reeti tika ka whakawhirinaki ki te momo urupare me te putanga e hiahiatia ana.
Ko nga kaiwhakanao rere whakauru (PFR) e hiahia ana ki te kai pumau me te whakaranu kia mau tonu ai nga reanga urupare me te kounga o te hua.Mena ka huri te kai ki te kukume, te pāmahana, te pehanga ranei, ka taea e te kaikiri te mahi.Ko te kounga kai kaore i te kaha ki te arahi i nga reiti faafariutanga kore me nga rereketanga o te hua whakamutunga.I roto i nga ahumahi he mea nui te kounga o te hua, ahakoa ko nga huringa iti ka raru i nga raru e hiahiatia ana e hiahiatia ana, ka pai ake ranei.Hei karo i enei take, he mea nui kia mau tonu te whangai me te whakahaere tika.Ko te whangai pai-whakahaere e whakarite ana kia pai te whakahaere o te kaiwhakaari me te whakaputa hua.He tino aro nui nga PFRS ki nga huringa o nga tikanga whangai na te mea ka pa te rereketanga o te ahuatanga o te tauhohenga i roto i te kaiwhakanao.Mai i te mea ka puta nga urupare i te mea ka neke te kai, ka taea e ia te whakarereke i ona taonga ki te arahi i te tukatuka me nga hua kaore i te whakapaehia.Hei aukati i tenei, me aro turukihia e nga kaiwhakahaere te whakahaere me te whakahaere i te whangai.Ka huri te pāmahana, te huringa o te pehanga, te poke ranei ka whakararu i te tauhohenga me te whakaiti i te whai hua.Ma te whakamahi i nga punaha aroturuki matatau ka awhina i nga tikanga pumau, kia pai ake ai te mahi, te kounga o te hua, me te iti ake o nga raru whakaputa.
I roto i nga papaa rere-moenga-moenga (PFR), kaare nga miihini me nga rauemi kapi ranei te awhina i te aukati i nga tauhohenga matū.Heoi, ka taea e Channeling te puta ka kore e horahia te rere o nga kaiwhakaari ki te moenga o te moenga.Engari ki te rere kau, ka whai waahi nga tauhohenga etahi huarahi, ka huri i nga waahanga o te catalyst.Na tenei ka mahi i te tauhohenga kaore i te tika, i reira e mahi ana etahi waahanga ahakoa kaore etahi e mahi.I te mutunga mai, ka haere etahi o nga kaiwhakatakoto i te kaiwhakaputa me te kore e tino aro, ka whakaiti i te kaha.Mai i te mea me rere te PFRS mo te mahinga pai rawa atu, ka taea e Channeling te raru nui, ina koa i roto i nga umanga e hiahia ana kia reeti whakatairanga nui.Ko te Channeling e arahi ana ki nga reiti urupare kaore i te pai.I te wa e whakapakeketia ana nga waahanga o te moenga catalyst, he iti ake nga tauhohenga ka hurihia hei hua, hei arahi i nga taonga me nga hua o raro.Hei aukati i tenei, me whakarite e koe te hoahoa hoahoa.Ka taea e ratou te whakamahi i nga kohinga whakakotahi, nga tohatoha rere, te papa motuhake ranei hei hora i te rere.Ka awhina te hoahoa tika ki te whakaiti i te whaikorero, kia pai ake ai te whakahou me te whakapai ake i te hanga matū.
Ahakoa he maamaa te whakauru (PFRS) he hoahoa ngawari, ka nui ake te hoahoa i a raatau mo te whakamahi nui-rahi ka taea te tino uaua.I te wa e tauihia ana he PFR, me whakarite kia noho maeneene te rere o nga rauemi, a ka noho tonu nga ahuatanga o te tauhohenga puta noa i te kaiwhakatika.Ko te tikanga kia maarama te maarama me pehea te nekehanga o te mate, me te horahanga o te wera, me te kaha o nga tauhohenga i roto i te punaha.Ko enei mea ka tino nui atu i nga waahanga ahumahi nui, kei reira nga huringa iti o te rere, te pāmahana ranei ka pa ki te whai hua me te kounga hua.Mena kaore i tino tika te PFR, kaore pea e mahi pera me te tumanako, ki te arahi i nga raru o te hanga.Ki te taui i te PFR, he maha tonu te waa ka whakarite ranei i te taha o nga kaiwhakamaori maha.Heoi, ka piki haere noa te rahi kaore i te rahi.Me matua whakatikahia e ratau nga reiti rere hei whakarite kia neke haere nga rawa ki te tere tika mo te tauhohenga ki te whakaoti.Ko nga huringa o te pehanga kei roto i te kaiwhakaari me whakahaere ano hoki hei aukati i nga raru rere.Ko tetahi atu take ko te whakawhitinga wera mai i te mea ka kaha te kaha ki te pupuri i te pāmahana, ka taea e nga waahanga o te reactor kia nui atu ranei.He maha nga huarahi whakamua hei whakahaere i enei mea kia pai ai te mahi a te kaiwhakanao nui ake me te putanga iti ake.
Ka taea e nga kaiwhakamakuku rere (PFR) te whakawhanake i te whakatipuranga, ka tupu i te wa e hanga ana nga taonga totika i roto i te kaiwhakanao.Ka taea e enei putunga mai i nga kaiwhakamahara toenga, hua, he poke ranei i te whangai.I te roanga o te waa, ka taea e te wha te aukati i te rere o nga rauemi ka oti te whakawhiti wera.Mai i te mea he mea nui te mana o te pāmahana mo te tauhohenga, ka taea e tenei te puhoi, te whakarereke ranei i te tukanga urupare, te whakaiti i te pai.Hei aukati i tenei, ka hiahiatia te horoi i ia wa, engari ka taea pea te utu me te aukati i te aukati ranei.Mena kaore i te whakahaerehia te paruparu, ka taea hoki e ia te kino mo te wa roa ki te whakahou i nga waahanga, ka nui ake te whakatika.I tua atu i te whakaroto, ka taea hoki e te PFrs te pa ki te aukati i te aukati ranei i te rere.Ko enei kaiwhakataetae e hiahia ana kia mau tonu nga taonga, na reira ka raru tetahi aukati.Ka puta mai nga arai mai i nga matūriki totoka, nga take taputapu, whakarereke ranei i te hanganga kai.Ka pa ana tenei, ka taea e te pehanga te whakarereke, me te urupare kaore e taea te whakaoti tika, te arahi i te kounga o te hua.Ko te rere o te rere kaore i pa ki te pāmahana me te taumata kukū i roto i te kaiwhakanao, he iti noa te mahi.Hei karo i enei raru, ka hiahiatia te aro turuki.He maha nga punaha e whakamahi ana i nga kaitoha me nga mana whakahaere ki te whai i nga mahi, engari ko enei taapiri ki nga utu whakahaere.Ahakoa enei wero, ko te tiaki me te tiaki tupato tonu me te awhina kia pai te rere o nga PFRS.
Ko nga kaiwhakanao rere whakauru (PFR) e whakamahia whānuitia ana i roto i te miihini matū na te kaha me te mohio.Ko ta raatau hoahoa e whakarite ana i nga rerenga unindirectionsal me nga wa noho rite, te tuku i te mana tika ki nga kinetics tauhohenga me te tohatoha hua.Na tenei ka pai ake mo nga tauhohenga matū, tae atu ki te hau-hau, he wai-wai, heterogeneous, me nga punaha huna.He mea nui to ratou rahinga me te whai hua ki te hanga ahumahi nui-rahi.
He mea nui te miihini rere (PFR) ki te hanga matū nui penei i te waikawa whanariki, te aakareti a te kaimoana, me te methanol.Ko ta raatau hoahoa e taea ai te rere o te matū, ka tere te tere o nga tauhohenga ka piki ake te mahi.He whai hua tenei mo nga ahumahi e tika ana kia tere ai te nui o nga matū.Ko te PFRS e whakarato ana i nga tikanga tauhohenga pumau, ma te whakarite kia pure te hua whakamutunga me te rite tonu te kounga.Ma te pupuri i nga reiti tauhohenga ka mau tonu me te whakaheke i nga hua-a-hua e hiahiatia ana, ka awhina nga PFRS ki te whakapiki i te kaha o te whakaputa.He pai tenei tuuturu mo nga umanga e whakawhirinaki ana ki nga tikanga matū kia pai ai te nui me te utu iti ake.Ka hangaia ano e te PFRS te hanga matū kia pai ake ai ma te aukati i te whakaranu me te pupuri i nga realution.Ko ta ratau rere tere ka taea te whakahaere pai ake i nga tikanga tauhohenga, te whakaiti i te hiahia mo nga taahiraa mowhiti.Ko tenei utu mo te whakaputa whakaputa me te whakaheke i nga ururua, kia kaha ake ai te whakahaere.Na te kaha ki te whakaputa tere tere, me te nuinga o te waa, me te iti noa, te PFR e whakamahia whānuitia ana i roto i nga umanga e hiahia ana ki te hanga matū nui.Ko ta raatau hoahoa e pai ana ki a raatau mo nga kamupene e titiro ana ki te whakapai ake me te kounga hua i te wa e pupuri ana nga utu.
I roto i te umanga Petrochemical, e whakamahia ana nga kaiwhakaora rere (PFR) mo te whakamahine i nga tukanga penei i te kaata me te waikawa me te akuaku.Ko ta ratau mana whakahaere mo nga ahuatanga o te tauhohenga ka taea e te hanga matū tino pai ki a Ethylene, protylene, me te buteadiene, e whakamahia ana i roto i te hanga kirihou me nga taonga hangai.Na te mea ka tukatuka a PFRS i nga rōpere nui o te hydrocarbons tonu, ka awhina ratou i nga tikanga whakahaere ki te mahi pai me te pupuri i te kounga o te hua.Ko te rere o te unidirectional i roto i nga pfrs te aukati i te whakaranu, te tiaki i te ma o nga kaiwhakanao me te whakapai ake i te kaha.Ko tetahi atu painga o te PFRS i roto i te tukatuka hinu ko to raatau kaha ki te hapai i te wera, he mea nui mo te whakahou i te pāmahana-pāmahana.Ma te pupuri i te pāmahana me te pēhanga, ka awhina te PFRS ki te whakaputa i nga hua i te whakaiti i nga hua e hiahiatia ana.Ko ta raatau hoahoa hoki ka taea e ratou te whakamahi mo te whakatikatika i nga mahi nui me nga mahi whakaheke nui.Na te mea ko o raatau kaha, te pono, me te kaha ki te tukatuka i te maha o nga rauemi kaore i te aukati, ka whai waahi nga PFRS ki te umanga hinu, me te whakapai i te hiahia o te ao.
Ko nga kaiwhakanao rere whakauru (PFR) e whakamahia whānuitia ana ki te mahi rongoa, ina koa i roto i te hanga o nga kai hakihaki kaha (APIS).Ko te kaha ki te pupuri i nga ahuatanga tuuturu e whakarite ana ko nga rongoa ka hua mai i te tino harakore me te riterite.Na te mea ko nga ngota katoa i roto i te PFR he wheako i nga ahuatanga o te tauhohenga, he iti ake nga rereketanga o te kounga hua.He mea nui tenei ki te umanga rongoā, ka hiahiatia e nga ture tino riterite me te kounga o te rongoa.Ma te whakaiti i te hanganga o nga hua-a-hua e hiahiatia ana, ka awhina ano hoki nga PFRS ki te whakaputa hua, ma te whakarite kia pai te whakamahi i nga rauemi raw nui.Me whakapai ake ano hoki nga PFRS mo te hanga rongoā ma te whakakii i te whakaputa tonu hei utu mo te tukatuka puranga.Ma tenei ka whakaiti i te rereketanga i waenga i nga momo whakaputa rereke, ka kaha ake te kaha.Ko te tere tere o nga kaiwhakaari i roto i nga PFR e pai ana ki te whakaputa i nga raau taero e hiahia ana kia whakahaere tika mo nga waa tauhohenga me nga tikanga.Ka tautokohia e te PFR nga tikanga hangahanga hou penei i te matū o te rere rere, e awhina ana i nga kamupene ki te whakaiti i nga utu me te iti o te utu me te paerewa haumaru.Na enei painga, he hangarau nui te PFRS i roto i te mahinga rongoā rongoā.
Ko nga kaiwhakanao rere whakauru (PFR) e tino whai hua ana ki nga tauhohenga Catalytic, kei reira nga tauoti me pa ki nga miihini mo nga hua pai.Ko ta ratau rere tere e whakarite ana ko nga kaiwhakatikatika ka rite ki nga papa o te catalytic, te whakapai ake i te tere urupare me te whai hua.He whai hua tēnei ki ngā tukanga ahumahi pēnei i te waikawa me te hāora, te mea ka kaha te whakahaere o te tauhohenga ki nga hua teitei.Mai i te PFRS e mau tonu ana i nga tikanga pumau, ka taea te tango i nga utu, ka whakaheke i nga utu me te whakapai ake i nga mahi katoa.Ma te aukati i te whakaranu, ka whakaiti hoki nga PFRS i nga tauhohenga kaore e hiahiatia, ka pai ake te maatau mo nga umanga e whakawhirinaki ana ki nga tikanga catalytic.Ka whakarei ake ano hoki nga PFRS i te mahinga catalytic nui-nui ma te arotau i nga tikanga tauhohenga me te whakaiti i te ururua.Ko ta ratau hoahoa e pai ake ai te pāmahana me te whakahaere pēhanga, te arahi i te whakamahi tika i nga kaareti.He mea nui tenei mo nga umanga penei i te petrochemical, nga rongoā, me nga matū pai, kei hea nga whakapainga iti noa iho i te paanga me te kounga hua.Na te kaha ki te whakapiki i te mahi whakaohooho i te wa e whakaitihia ana te ururua me te whakamahi kaha, ka whai waahi nga PFRS ki nga tauhohenga Catalytic Ahumahi.
He mea nui te miihini rere (PFR) ki te tiaki i te taiao, ina koa mo te whakaiti i te paru me te rongoa i te ururua ahumahi.Ka whakamahia noatia ratau ki te maimoatanga hau rere, kei reira nga kohinga kino penei i te whanariki hau me nga hauota hauota e huri ana ki nga pūhui haumaru.Ka whai waahi hoki a PFRS ki te maimoatanga ururua ma te wawahi i nga matū e mau ana ki te iti o nga hua kino.Ko ta raatau hoahoa rerenga tonu e tika ana kia pai te tango i te tangohanga, te awhina i nga umanga i nga ture taiao i te wa e whakaiti ana i nga utu.I tua atu i te mana o te aukati, te tautoko a nga pfrs ki te whakapiki i te kaha o te kaha me te whakaiti i te ururua.Ko te kaha ki te tukatuka i nga waahanga nui o te ururua ahumahi ka waiho hei rongoa pono mo te whakahaere taiao-rahi.Na roto i te whakauru i te hangarau PFR, ka taea e nga umanga te whakaiti i te paanga o te taiao i te wa e pupuri ana i te mahi pai.I te mea ko nga awangawanga e pa ana ki te pokekore me te huringa huarere ka tipu haere te taputapu nui mo te rapu i nga umanga e rapu ana i nga otinga mahi nui ake.
Ka taea e nga PFrs te whakahaere i nga tauhohenga heterogeneous me te homogeneous, ka tino mohio ratou ki te whakahiato matū.He whai hua ki a raatau mo nga raupaparorohiko raupaparorohiko me nga tau raupaparorohiko raupaparorohiko.I roto i nga tauhohenga homogeneous, ko nga wa katoa e mau tonu ana i nga kinetics tauhohenga pumau, hei whakatairanga i te hua me te kounga hua.Ko tenei whakaurunga ka whai kiko nga pfrs mo te whānuitanga o nga momo matū, mai i nga taonga o te matū taketake ki nga matū pai me nga rongoā.Ko ta ratau mana tika mo nga ahuatanga o te tauhohenga ka taea e te whakahiato o nga hua nui-tino parakore me nga hua iti.
Ka whakamahia te PFRS ki te whakaputa i nga matū pai, kei te hiahiatia te pokekore me nga huarahi tauhohenga motuhake.Ka whakaratohia e ratau te mana whakahaere mo te pāmahana, te pēhanga, me te wa noho, te whakarite i te kounga o te hua me te hua.He tino pai tenei ahuatanga i roto i te waikano, kakara, he whakakakara motuhake, me etahi atu matū pai e hiahiatia ana nga paerewa kounga.Ko nga PFR e whakaiti ana i te hanganga hua-hua me te whakarei ake i te tauhohenga tauhohenga, te arotau i te whakamahi rauemi mata me te whakaiti i te ururua.Ko ta ratau korero ka taea e ta ratau te hanga matū pai kia pai ake te whakawhiti mai i te kohinga taiwhanga iti-iti ki te hanga ahumahi i te wa-katoa.
He tino pai nga kaiwhakanao rere mo te whakahaere i nga tauhohenga matū me te tino tika.Ka mahi ratou ma te pupuri i nga mea katoa e neke ana i te huarahi kotahi, ka awhina i te hua mai i te nui o nga matū me te pupuri i nga mea katoa.He tino pai ki a raatau mo nga mahi umanga nui e hiahia ana koe ki te mahi i te maha o nga hua kaore he rongoa, he kaha ranei.Heoi, kaore ratou i te tino pai mo nga ahuatanga katoa, i etahi wa kaore ratou e pai mo etahi tauhohenga, a ka taea te aro ki nga huringa o nga rauemi e whakamahia ana e ratou.Engari ko te katoa, ko nga PFR he kowhiringa mo te maha o nga tukanga hangahanga na te mea ka whai kiko te whai hua me te whai hua o te ahumahi me te ohanga.
Tena koa tukuna mai he uiui, ka whakautu wawe taatau.
Ko te parau tumu o te recto plug Fine (PFR) ko te whakaheke i te putorino e rere ana i roto i te putorino cylindrical i te wa e neke ana nga huanga ki te huarahi kotahi, kaore he whakaranu i te ahunga o te rere.Ko tenei hua ka puta i ia waahanga o te wai e uru ana ki te hurihuri i nga waa rereke, kia mau tonu ai te "plug" o te rere e neke ana i roto i te kaiwhakanao.Ko te kukume me te urupare tere i te roa o te kaiwhakanao engari kei te mau tonu i tetahi waahanga whakawhiti-whakawhiti ki te rere.
Ko te mea nui o te kaiwhakanao rere whakauru ko tona kaha ki te pupuri i te kaha o te kukume o te tauhohe mai i te kokoru ki te putanga.Ma tenei e whakarite te ahunga whakamua o te tauhohenga hei raupapatanga o nga kaiwhakataetae iti iti i runga i te roa o te ngongo.Ko tenei huinga e whakarato ana i nga tikanga tauhohenga me nga tikanga, he pai mo nga tauhohenga e aro nui ana ki te wa noho.
He pai te whakamahi i nga kaikohi rere (PFRS) i nga umanga ka pai te whakahaere mo nga waa tauhohenga mo te whai hua me te kounga hua.I roto i te hanga matū, ka whakaaetia e te PFR nga mahi hanga tonu o te matū, kia whakarite i nga ahuatanga o nga momo momo ma te rere totika me nga tikanga tauhohenga.He mea nui ratou i roto i nga tikanga petrochemical, penei i te hydrocarb eary ki te whakaputa i te arearea me etahi atu olefins, kei reira te waa tika me te whakaiti i nga hua me te whakaiti i nga hua.I roto i nga mahi rongoā rongoā, he mea nui te PFRS mo te whakatipu rongoa.Ko te tino mana e tukuna ana e ratou mo nga waa tauhohenga me nga tikanga e awhina ana i nga whakaritenga me te whakaputa tika, he pai ake mo te haumaru me te whai hua o te raau taero.Ka whakamahia ano hoki nga PFRS i roto i te maimoatanga wai, i roto i te kohinga wai, kia pai ai te whakakore i te whakaputanga matū me te whakaiti i te whakamahi nui.
Ko te miihini rerenga o te mono ka whakahaere i runga i te parau tumu e rite ana ki te PFR engari kua hoahoa motuhake mo te NAEEROBIC NAMETS.I roto i tenei huinga, kei te haere tonu te ururua o te rauropi ki tetahi pito o te reeti, whakapae.Ka rite ki te ururua ka neke i roto i te kaiwhakanao, nga microorganism e keri ana i te mea whakato, te whakaputa biogas (methane me te hauhā).Ko te Digenster e mau ana i te rere rite ki te aukati i te whakaranu me te whakarite kia rite tonu te waahanga o te ururua, te arotau i te hanga hau me te whakaiti i te ururua kore.
Ma te whakamahi i te Kaipupuri Taonga Momo (PFR) ka pai ake nga tukanga matū ma te tuku i te kaha o te faafariuraa, te tikanga ka whakamahia e te hunga tauhohenga katoa ki te whakarahi i nga kaupapa katoa.Ka mau tonu nga PFRS ki te whakahaere pāmahana, te whakanui i nga reeti me nga hua.He maamaa ratou, ka taea te whakawhiti ngawari mai i nga huinga taiwhanga iti ki te whakaputa ahumahi nui-kore e pa ana ki te kounga o te mahi.Aukuhia te PFR ki te whakaranu i muri, me whai tikanga e hiahia ana ki nga tauhohenga raupapa me te kore wawao.Ka tere te whakaputa ma te pupuri i nga tauhohe kia kaha tonu te whakaoti, te whakaiti i te waa tauhohenga me te tapahi utu.
i te 2025/03/4
i te 2025/03/3
i te 8000/04/18 147757
i te 2000/04/18 111931
i te 1600/04/18 111349
i te 0400/04/18 83719
i te 1970/01/1 79508
i te 1970/01/1 66884
i te 1970/01/1 63010
i te 1970/01/1 62980
i te 1970/01/1 54081
i te 1970/01/1 52108